W tym zadaniu musisz wyznaczyć medianę wyników dziesięciu rzutów sześcienną kostką do gry, jeśli średnia arytmetyczna tych rzutów wynosi 3,4 natomiast pierwsze osiem rzutów to: 2, 3, 2, 4, 5, 6, 4, 5.
a – dziewiąty rzut
b – dziesiąty rzut.
Ustawiając wyniki rzutów w kolejności rosnącej otrzyma się.
1, 2, 2, 2, 3, 4, 4, 5, 5, 6
Liczb jest 10, więc mediana tych liczb to średnia arytmetyczna liczby 5. oraz 6. Tymi liczbami są 3 oraz 4. Ich średnia arytmetyczna a zarazem mediana całego zestawu wynosi:
Odp.: B. 3,5.
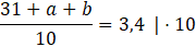
Oznacz przez a oraz b dziewiąty i dziesiąty rzut. Średnia arytmetyczna podanego zestawu rzutów wyraża się wzorem:
Przyrównując to wyrażenie do 3,4 otrzymasz:
Oczywiście wyniki rzutów to liczby naturalne od 1 do 6. Jedyną parą liczb naturalnych których suma wynosi 3 to 1 oraz 2, więc tyle wynosiły rzuty dziewiąty i dziesiąty.
Ustaw wyniki rzutów w kolejności rosnącej.
1, 2, 2, 2, 3, 4, 4, 5, 5, 6
Liczb jest 10, więc mediana tych liczb to średnia arytmetyczna liczby 5. oraz 6. Tymi liczbami są 3 oraz 4. Ich średnia arytmetyczna a zarazem mediana całego zestawu wynosi:
Zadanie 16.
89Zadanie 17.
90Zadanie 18.
90Zadanie 25.
98Zadanie 27.
98Zadanie 16.
103Zadanie 17.
103Zadanie 19.
103Zadanie 14.
111Zadanie 13.
114Zadanie 14.
114Zadanie 21.
131Zadanie 23.
137Zadanie 28.
138Zadanie 20.
142Zadanie 23.
148