W tym zadaniu musisz obliczyć, ile wynosi współczynnik a, funkcji kwadratowej f(x) = ax2 + bx + c, jeśli funkcja ta osiąga największą wartość wynoszącą 2 oraz zachodzi dla niej zależność f(-6) = f(4) = 7.
Odpowiedź: A.
Jeśli ta funkcja osiąga najmniejszą wartość, to znaczy, że ramiona paraboli będącej wykresem tej funkcji są skierowane ku górze. Czyli szukany współczynnik jest na pewno liczbą dodatnią. Najmniejsza wartość funkcji kwadratowej to druga współrzędna wierzchołka, a więc współczynnik q. Możesz zapisać równanie w postaci kanonicznej tej funkcji:
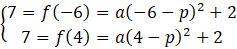
Ponieważ masz dwie niewiadome, ale znasz wartość funkcji dla dwóch argumentów, możesz zapisać taki układ równań:
Oczywiście możesz się pozbyć zapisów z f, a także skorzystaj ze wzorów skróconego mnożenia by wymnożyć nawiasy podniesione do kwadratu. W pierwszym równaniu wyciągasz minusa przed nawias, ale go i tak będziesz podnosił do kwadratu. -1 do kwadratu to 1, więc obliczenie nawiasu występującego z pierwszym równaniu sprowadza się do wykorzystania wzoru na kwadrat sumy (bo po wyciągnięciu minusa dostaniesz sumę).
Wymnóż nawiasy przez a:
Zauważ, że część składników występuje w obu równaniach. Możesz postąpić podobnie jak w metodzie przeciwnych współczynników i przemnożyć np. drugie równanie przez -1, a następnie dodać oba równania stronami.
Wyciągnij 20a przed nawias:
Masz tu iloczyn dwóch liczb, który równa się 0. Oznacza to, że któryś ze składników także wynosi 0.
Ale ponieważ funkcja jest kwadratowa to a nie może wynosić 0. Więc jedyną możliwością jest to, że p = -1. Mając już p możesz podstawić je do któregoś ze wzorów w układzie równań wyżej.
Zadanie 16.
89Zadanie 17.
90Zadanie 18.
90Zadanie 25.
98Zadanie 27.
98Zadanie 16.
103Zadanie 17.
103Zadanie 19.
103Zadanie 14.
111Zadanie 13.
114Zadanie 14.
114Zadanie 21.
131Zadanie 23.
137Zadanie 28.
138Zadanie 20.
142Zadanie 23.
148