W tym zadaniu musisz obliczyć liczbę laptopów produkowanych przez fabrykę, która produkuje laptopy i tablety. Miesięcznie fabryka produkuje i sprzedaje 1200 urządzeń łącznie. Wiadomo, że cena tabletów jest 4 razy tańsza niż laptopów. Dodatkowo, jeśli cena laptopów wzrośnie o 10%, a cena tabletów spadnie o 10%, to przychód ze sprzedaży nie ulegnie zmianie.
x – ilość produkowanych laptopów w ciągu miesiąca
y – ilość produkowanych tabletów w ciągu miesiąca
x + y = 1200 – łączna produkcja urządzeń
z – cena laptopa
1,1z – cena laptopa po podwyżce
Odp.: Fabryka produkuje 240 laptopy.
W tego typu zadaniach dobrze jest wypisać sobie wszystkie dane. Opisujesz niewiadome i za ich pomocą wyrażasz potrzebne wielkości. Tutaj potrzebujesz informacji o ilości produkowanych urządzeń. W treści zadania są informacje na temat ceny produktów, więc warto zapisać te ceny. Gdy już wszystko masz zapisane przejdź do rozwiązywania odpowiednich równań.
Warto zauważyć, że zmienna z występuje w każdym ze składników równania, więc możesz ją wyciągnąć i skrócić. Oczywiście z czyli cena laptopa musi być różna od zera by zadanie miało sens, więc możesz przez nią dzielić.
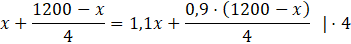
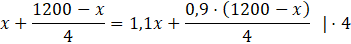
Otrzymujesz równanie z dwoma zmiennymi. Z informacji na temat łącznej produkcji możesz wyznaczyć y (gdyż szukasz w tym zadaniu x), a następnie podstawić pod to równanie.
Otrzymujesz równanie z jedną niewiadomą. Aby pozbyć się mianowników, warto przemnożyć obie strony przez 4.
Natomiast jeśli potrzebujesz pozbyć się ułamków dziesiętnych, to możesz przemnożyć obie strony jeszcze raz, tym razem przez 10.
Po uproszczeniu otrzymujesz wynik. Pamiętaj, że w tym zadaniu wystarczy wyliczyć tylko x.
Zadanie 16.
89Zadanie 17.
90Zadanie 18.
90Zadanie 25.
98Zadanie 27.
98Zadanie 16.
103Zadanie 17.
103Zadanie 19.
103Zadanie 14.
111Zadanie 13.
114Zadanie 14.
114Zadanie 21.
131Zadanie 23.
137Zadanie 28.
138Zadanie 20.
142Zadanie 23.
148