W tym zadaniu musisz obliczyć sumę ciągu arytmetycznego, wiedząc, że posiada on czterdzieści wyrazów, wyraz dziesiąty wynosi 1, zaś czterdziesty wynosi 11.
Szukane: S40
Odp.: Suma wszystkich wyrazów tego ciągu wynosi 180.
Zapisz, co wiesz na temat tego ciągu (oznacz go jako an):
Potrzebujesz wyliczyć sumę jego wszystkich wyrazów, czyli sumę pierwszych czterdziestu wyrazów. A więc to będzie S40. Do policzenia S40, potrzebujesz a1 oraz a40, które jest już podane. Więc musisz obliczyć tylko a1.
Jednakże, aby to zrobić, będziesz musiał wyznaczyć najpierw różnicę tego ciągu. Aby wyliczyć różnicę, użyj ogólnego wzoru na ciąg arytmetyczny do zapisania znanych z treści zadania wyrazów ciągu:
Następnie oblicz różnicę tych dwóch wyrazów
Oblicz tę samą różnicę, ale przy użyciu wcześniej otrzymanych wyrażeń:
Teraz wystarczy, że przyrównasz do siebie obydwie uzyskane wartości:
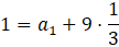
Aby obliczyć a1 podstaw r pod jeden z wcześniej wyprowadzonych wzorów na a10 lub a40:
W ostatnim kroku pozostaje podstawić potrzebne wartości w odpowiednie miejsca do wzoru na sumę pierwszych czterdziestu wyrazów ciągu arytmetycznego:
Zadanie 16.
89Zadanie 17.
90Zadanie 18.
90Zadanie 25.
98Zadanie 27.
98Zadanie 16.
103Zadanie 17.
103Zadanie 19.
103Zadanie 14.
111Zadanie 13.
114Zadanie 14.
114Zadanie 21.
131Zadanie 23.
137Zadanie 28.
138Zadanie 20.
142Zadanie 23.
148