W tym zadaniu mamy do czynienia, z ostrosłupem którego wysokość wynosi h, i z którego odcinany jest mały ostrosłup poprzez płaszczyznę która jest równoległa do podstawy ostrosłupa. Twoim zadaniem jest określenie odległości od podstawy, w której należy przeprowadzić płaszczyznę cięcia, tak aby całkowite pole powierzchni mniejszego ostrosłupa była połową pola powierzchni głównego ostrosłupa.
Mniejszy ostrosłup ~ Większy ostrosłup
Niech P – pole powierzchni dużego ostrosłupa, p – pole powierzchni małego ostrosłupa
Niech H – wysokość dużego ostrosłupa, h – wysokość małego ostrosłupa
Z kolei odległość płaszczyzny cięcia od podstawy ostrosłupa to wysokość dużego ostrosłupa pomniejszona o wysokość mniejszego ostrosłupa i wynosi ona:
Zauważ, że jeśli odetniesz w sposób opisany w treści zadania mniejszy ostrosłup to otrzymasz bryłę podobną do dużego ostrosłupa. Jeśli przez P oznaczysz pole powierzchni głównego ostrosłupa, a przez p pole powierzchni małego ostrosłupa, to skala podobieństwa między mniejszym ostrosłupem a większym wynosi:
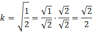
Pole powierzchni małego ostrosłupa ma być połową pola powierzchni dużego ostrosłupa, co po podstawieniu do powyższego wzoru da:
Trudno określić co by miała oznaczać ujemna skala podobieństwa w tym przypadku, więc przyjmij, że skala podobieństwa ma być większa od zera i odrzuć ujemny przypadek.
Ponieważ w mianowniku pojawił się pierwiastek to musisz usunąć niewymierność z mianownika poprzez przemnożenie licznika i mianownika przez ten pierwiastek.
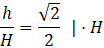
Jeśli wysokość dużego ostrosłupa oznaczysz jako H, zaś wysokość małego jako h, to ponieważ są to ostrosłupy podobne, zależność między tymi wysokościami wyraża się:
Podstawiając wcześniej obliczone k otrzymasz:
Wyznacz z tego równania h przez przemnożenie obu stron przez H.
Z kolei odległość płaszczyzny cięcia od podstawy ostrosłupa to wysokość dużego ostrosłupa pomniejszona o wysokość mniejszego ostrosłupa i wynosi ona:
Zadanie 16.
89Zadanie 17.
90Zadanie 18.
90Zadanie 25.
98Zadanie 27.
98Zadanie 16.
103Zadanie 17.
103Zadanie 19.
103Zadanie 14.
111Zadanie 13.
114Zadanie 14.
114Zadanie 21.
131Zadanie 23.
137Zadanie 28.
138Zadanie 20.
142Zadanie 23.
148