W tym zadaniu musisz ustalić, ile wynosi wartość liczby
Odpowiedź: A. -4
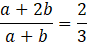
W tym zadaniu musisz przekształcić podane równanie by otrzymać potrzebne wyrażenie. Najpierw zapisz dla jakich a i b nie zeruje się mianownik w wyrażeniach z treści zadania. Dzieje się to dla a + b ≠ 0, więc a ≠ -b oraz oczywiście dla b ≠ 0.
Ponieważ masz dwa ułamki po obu stronach równania, to możesz przemnożyć „na krzyż”.
Po wymnożeniu nawiasów, przenieś wyrażenia z a na jedną stronę, zaś z b na drugą.
Na koniec podziel obustronnie przez b, aby otrzymać z jednej strony równości wyrażenie
Pozbądź się jeszcze minusa przy ułamku przenosząc go na drugą stronę.
Zadanie 16.
89Zadanie 17.
90Zadanie 18.
90Zadanie 25.
98Zadanie 27.
98Zadanie 16.
103Zadanie 17.
103Zadanie 19.
103Zadanie 14.
111Zadanie 13.
114Zadanie 14.
114Zadanie 21.
131Zadanie 23.
137Zadanie 28.
138Zadanie 20.
142Zadanie 23.
148