W tym zadaniu musisz obliczyć nowe wagi ocen zaproponowane przez władze uczelni, uwzględniając regulamin dotyczący obliczania wyniku końcowego studiów. Według regulaminu, wynik końcowy jest obliczany jako średnia ważona trzech ocen: średniej arytmetycznej ocen wpisanych do indeksu, oceny z pracy dyplomowej i oceny z egzaminu dyplomowego. Ewelina uzyskała ocenę 3,7 za średnią ocen z indeksu, ocenę 4,5 za pracę dyplomową i ocenę 4 za egzamin dyplomowy. Obecnie wagi ocen wynoszą odpowiednio 0,5 dla średniej ocen z indeksu, 0,3 dla oceny z pracy dyplomowej i 0,2 dla oceny z egzaminu dyplomowego. Władze uczelni proponują zmianę wag ocen tak, że waga oceny pracy dyplomowej i waga oceny egzaminu dyplomowego byłyby równe. Po wprowadzeniu tych zmian, wynik końcowy Eweliny wyniósłby 3,92.
x – nowa waga średniej ocen na indeksie
y – nowe wagi (które są sobie równe) ocen z pracy dyplomowej oraz egzaminu dyplomowego
W treści zadania brak wystarczających danych by obliczyć konkretne wartości. Przy założeniu, że suma wag się nie zmieniła i wynosi 1:
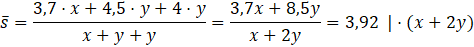
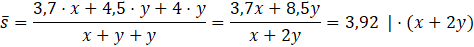
Jeśli oznaczysz przez x nową wagę średniej z ocen w indeksie, zaś przez y wagi ocen z pracy dyplomowej i z egzaminu dyplomowego które mają być sobie równe, to przy użyciu wzoru na średnią arytmetyczną możesz zapisać:
Otrzymałeś zależność między wagą średniej ocen z indeksu i wagami ocen za pracę dyplomową i egzamin dyplomowy. Niestety w treści zadania nie ma wystarczającej ilości danych by obliczyć dokładne wartości tych wag. Jednakże, jeżeli założysz, że suma wag się nie zmieniła i wciąż wynosi 1 otrzymasz równanie:
Podstawiając zależność między x a y otrzymasz
Zaś x w takiej sytuacji wynosi:
Zadanie 16.
89Zadanie 17.
90Zadanie 18.
90Zadanie 25.
98Zadanie 27.
98Zadanie 16.
103Zadanie 17.
103Zadanie 19.
103Zadanie 14.
111Zadanie 13.
114Zadanie 14.
114Zadanie 21.
131Zadanie 23.
137Zadanie 28.
138Zadanie 20.
142Zadanie 23.
148