W tym zadaniu musisz określić które z podanych zdań dotyczących funkcji zadanej wzorem
Dziedzina:
Punkt przecięcia się wykresu funkcji z osią OY:
Miejsca zerowe funkcji:
A więc ta funkcja ma jedynie jedno miejsce zerowe.
Czy wykres funkcji f przechodzi przez punkt
Odpowiedź: D. Wykres funkcji f przechodzi przez punkt
Aby określić, które z podanych zdań jest prawdziwe, musisz wyznaczyć własności funkcji o których jest mowa w odpowiedziach.
Dziedzina funkcji to zbiór wszystkich argumentów, dla których możesz określić wartość. W tej funkcji zmienna znajduje się w mianowniku, więc istnieje ryzyko, że dla pewnej wartości tej zmiennej w mianowniku pojawi się 0, a dzielenie przez 0 jest nieokreślone. Ponadto zmienna znajduje się pod pierwiastkiem, więc może się tak zdarzyć, że dla pewnych wartości zmiennej, wyrażenie pod pierwiastkiem będzie mniejsze od zera, a w liczbach rzeczywistych nie da się obliczyć pierwiastka stopnia parzystego (w tym kwadratowego) z liczby ujemnej. Więc aby wyznaczyć dziedzinę musisz uwzględnić te dwa przypadki i wyrzucić je z dziedziny. Zauważ, że te dwa przypadki możesz „scalić” w jeden, gdyż funkcję da się określić po prostu dla wyrażenia pod pierwiastkiem większego od 0.
Otrzymujesz dziedzinę:
Co jest jednak różnym przedziałem jak w odpowiedzi A. (W odpowiedzi jest przedział lewostronnie domknięty, a tu jest otwarty)
Aby wyznaczyć punkt przecięcia się wykresu funkcji z osią OY, musisz za x podstawić 0 do wzoru funkcji. Oczywiście musisz się upewnić, że 0 jest w dziedzinie funkcji, jednak 0 > -3, czyli do dziedziny należy. Możesz od razu stwierdzić, że ten pierwsza współrzędna tego punktu będzie wynosić 0, czyli będzie liczbą całkowitą. Druga współrzędna to z kolei wartość tej funkcji dla x = 0.
Oczywiście, skoro pojawił się w mianowniku pierwiastek, musisz usunąć niewymierność z mianownika. Otrzymany wynik zdecydowanie nie jest liczbą całkowitą co oznacza, że druga współrzędna punktu przecięcia się wykresu funkcji z osią OY nie jest całkowita, czyli odpowiedź B jest fałszywa.
Aby obliczyć miejsca zerowe tej funkcji musisz przyrównać ją do 0.
Jeśli ułamek wynosi 0, to licznik musi wynosić 0.
Pamiętaj, że pierwiastkowanie produkuje dwa rozwiązania:
Musisz sprawdzić, czy oba rozwiązania są w dziedzinie:
A więc ta funkcja ma jedynie jedno miejsce zerowe.
Aby sprawdzić, czy funkcja przechodzi przez dany punkt, musisz obliczyć wartość funkcji dla argumentu równego pierwszej współrzędnej tego punktu, a następnie sprawdzić czy otrzymana wartość wynosi tyle samo co druga współrzędna.
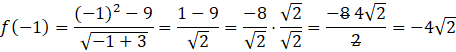
Pierwsza współrzędna sprawdzanego punktu to -1:
A więc druga współrzędna sprawdzanego punktu wynosi dokładnie tyle, więc punkt
Zadanie 16.
89Zadanie 17.
90Zadanie 18.
90Zadanie 25.
98Zadanie 27.
98Zadanie 16.
103Zadanie 17.
103Zadanie 19.
103Zadanie 14.
111Zadanie 13.
114Zadanie 14.
114Zadanie 21.
131Zadanie 23.
137Zadanie 28.
138Zadanie 20.
142Zadanie 23.
148