W tym zadaniu musisz wyliczyć jak odległy jest punkt C od prostej zawierającej odcinek AB, jeśli punkt A ma współrzędne A = (-3, -5), punkt B ma współrzędne (1, 5) zaś punkt C ma współrzędne (-2, 3). Wylicz także jakie pole ma trójkąt wyznaczony przez te 3 punkty.
Więc wysokość opuszczona z wierzchołka C, to odległość punktu C od prostej zawierającej bok AB.
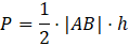
Pole trójkąta ABC to:
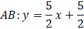
Prosta AB, przechodzi przez punkty A oraz B. Więc jej współczynnik kierunkowy możesz wyliczyć, ze wzoru na współczynnik kierunkowy prostej przechodzącej przez dwa punkty:
Równanie prostej AB możesz na chwilę obecną zapisać jako:
Prosta AB przechodzi, przez punkty A oraz B, więc podstawiając do równania kierunkowego prostej AB za x pierwszą współrzędną któregoś z tych punktów, powinieneś otrzymać w wyniku drugą współrzędną. W tym przypadku wybrany został punkt B.
Więc prosta AB zawierająca bok AB wyraża się wzorem:
Aby obliczyć odległość punktu C od prostej AB musisz skorzystać ze wzoru na odległość punktu o od prostej. Jednakże prosta którą wyznaczyłeś jest w postaci kierunkowej, więc musisz zamienić jej równanie na postać ogólną. W tym celu przenieś na jedną stronę wszystkie wyrazy.
Pomnóż przez 2 obie strony, aby pozbyć się ułamków.
Teraz wystarczy, że odczytasz poszczególne współczynniki z równania, i podstawisz je do wzoru, razem z współrzędnymi punktu C.
Oczywiście, ponieważ w mianowniku pojawił się pierwiastek, musisz usunąć niewymierność z mianownika, przez przemnożenie zarówno licznika jak i mianownika przez ten pierwiastek.
Wysokość, jest to odcinek prostopadły do boku. Zauważ, że wysokość to odległość wierzchołka od prostej zawierającej przeciwny bok. Więc otrzymana odległość punktu C od prostej AB, to wysokość opuszczona z wierzchołka C na ten bok.
Pole trójkąta to:
Musisz więc obliczyć długość boku AB. Skorzystaj ze wzoru na długość odcinka łączącego dwa punkty.
Podstawiając do wzoru na pole trójkąta otrzymasz:
Zadanie 16.
89Zadanie 17.
90Zadanie 18.
90Zadanie 25.
98Zadanie 27.
98Zadanie 16.
103Zadanie 17.
103Zadanie 19.
103Zadanie 14.
111Zadanie 13.
114Zadanie 14.
114Zadanie 21.
131Zadanie 23.
137Zadanie 28.
138Zadanie 20.
142Zadanie 23.
148