W tym zadaniu musisz wyznaczyć współrzędne punktów, w których przecinają się podane funkcje:
Delta ujemna więc brak rozwiązań, czyli ta część wykresu f nie ma części wspólnych z g.
Więc współrzędne punktów przecięcia tej funkcji to:
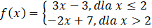
Funkcje w punkcie przecięcia się swoich wykresów mają te same wartości. Więc aby obliczyć argumenty, dla których to się dzieje musisz przyrównać wzory obu funkcji. Ale ponieważ na funkcję f składają się dwa wzory określone w pewnych przedziałach, musisz przyrównać obydwa wzory do funkcji g, a następnie sprawdzić czy dla otrzymanego argumentu obowiązuje wzór, który był rozważany. Sprowadza się to do sprawdzenia czy otrzymany argument należy do przedziału, dla którego jest zdefiniowany dany wzór.
Aby rozwiązać to równanie przenieś wszystkie wyrazy na jedną stronę i rozwiąż standardowe równanie kwadratowe:
Teraz musisz sprawdzić czy obydwa rozwiązania należą do przedziału, dla którego jest definiowany użyty wzór. Okazuje się, że tak jest. Analogicznie postępujesz dla drugiego wzoru:
Delta ujemna więc brak rozwiązań, czyli ta część wykresu f nie ma części wspólnych z g.
Aby wyznaczyć współrzędne punktów przecięcia musisz obliczyć drugie współrzędne, czyli wartości funkcji w tych punktach. Ponieważ są one równe, to nie ma znaczenia, do którego wzoru będziesz podstawiał.
Więc współrzędne punktów przecięcia tej funkcji możesz zapisać jako:
Zadanie 16.
89Zadanie 17.
90Zadanie 18.
90Zadanie 25.
98Zadanie 27.
98Zadanie 16.
103Zadanie 17.
103Zadanie 19.
103Zadanie 14.
111Zadanie 13.
114Zadanie 14.
114Zadanie 21.
131Zadanie 23.
137Zadanie 28.
138Zadanie 20.
142Zadanie 23.
148