W tym zadaniu musisz wyznaczyć wartość cos α wiedząc, że tangens tego kąta wynosi -2, zaś kąt α spełnia warunek
Odpowiedź: A.
Na samym początku zauważ, że tangens tego kąta jest ujemny. Skoro kąt ten należy do przedziału
Przypomnij sobie zależność wiążącą ze sobą tangensa i cosinusa danego kąta. Tangens wyraża się jako iloraz sinusa i cosinusa danego kąta. Więc możesz zapisać:
Ale ty znasz wartość tangensa.
Teraz przypomnij sobie zależność między sinusem a cosinusem danego kąta. Jest to jedynka trygonometryczna.
Podstaw za sinusa wyrażenie, które otrzymałeś szybciej:
Pamiętaj, że pierwiastkując obustronnie musisz rozważyć dwa wyniki.
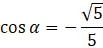
Otrzymując pierwiastek w mianowniku powinieneś usunąć niewymierność z mianownika przez przemnożenie licznika i mianownika przez ten pierwiastek. Oczywiście w drugim rozwiązaniu dostajesz ten sam pierwiastek tylko, że z minusem, więc nie ma sensu powtarzać operacji z dodatniego rozwiązania. Jak to było szybciej wspominane cosinus tego kąta ma mieć wartość ujemną. Więc odrzucasz rozwiązanie dodatnie.
Zadanie 16.
89Zadanie 17.
90Zadanie 18.
90Zadanie 25.
98Zadanie 27.
98Zadanie 16.
103Zadanie 17.
103Zadanie 19.
103Zadanie 14.
111Zadanie 13.
114Zadanie 14.
114Zadanie 21.
131Zadanie 23.
137Zadanie 28.
138Zadanie 20.
142Zadanie 23.
148