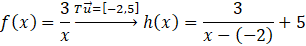
W tym zadaniu musisz określić jakim wzorem zapisana jest funkcja h której wykres jest narysowany obok, i która to powstała przez przesunięcie wykresu funkcji zadanej równaniem
Wykresem funkcji f jest hiperbola o asymptotach x = 0 oraz y = 0.
Wykresem funkcji h jest hiperbola o asymptotach x = -2 oraz y = 5
Odpowiedź: B.
Zauważ, że funkcja f jest funkcją wymierną której wykresem jest hiperbola o asymptotach zadanych równaniami x = 0 oraz y = 0 (czyli proste pokrywające się z osiami układu współrzędnych). Punktem przecięcia się asymptot jest oczywiście punkt (0, 0). Z kolei funkcja h, na podstawie tego co możesz odczytać z wykresu, także jest funkcją wymierną, o asymptotach zadanych równaniami x = -2 oraz y = 5. Ich punktem przecięcia jest punkt (-2, 5). Skoro funkcja h powstała przez przesunięcie funkcji f, to punkt przecięcia się asymptot funkcji h jest przesuniętym punktem przecięcia się asymptot funkcji f. Aby przesunąć punkt o współrzędnych (0, 0) do punktu (-2, 5), musisz zadziałać wektorem [-2, 5]. I o ten sam wektor przesunięta będzie cała funkcja f, co możesz zapisać jako:
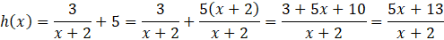
W ten sposób otrzymałeś wzór funkcji h jako:
Jednakże zauważ, że wszystkie odpowiedzi zapisane są w postaci homograficznej. Aby otrzymać taką postać wystarczy, że całe wyrażenie sprowadzisz do wspólnego mianownika.
Zadanie 16.
89Zadanie 17.
90Zadanie 18.
90Zadanie 25.
98Zadanie 27.
98Zadanie 16.
103Zadanie 17.
103Zadanie 19.
103Zadanie 14.
111Zadanie 13.
114Zadanie 14.
114Zadanie 21.
131Zadanie 23.
137Zadanie 28.
138Zadanie 20.
142Zadanie 23.
148