W tym zadaniu musisz obliczyć jaki wyjdzie wynik po dodaniu miejsc zerowych funkcji kwadratowej, która ma ich dwa oraz współrzędne wierzchołka paraboli będącej wykresem tej funkcji to (-24, 36).
Odpowiedź: A. -48.
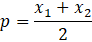
Przypomnij sobie zależność między miejscami zerowymi, a współrzędnymi wierzchołka paraboli. Pierwsza współrzędna wierzchołka to średnia arytmetyczna miejsc zerowych i wyraża się wzorem:
Zauważ, że licznik tego ułamka to szukana suma. Oczywiście pierwszą współrzędną wierzchołka tej paraboli jest -24. Więc wystarczy, że podstawisz p = -24 a następnie pomnożysz obie strony równania przez 2, aby pozbyć się mianownika ułamka.
Zadanie 16.
89Zadanie 17.
90Zadanie 18.
90Zadanie 25.
98Zadanie 27.
98Zadanie 16.
103Zadanie 17.
103Zadanie 19.
103Zadanie 14.
111Zadanie 13.
114Zadanie 14.
114Zadanie 21.
131Zadanie 23.
137Zadanie 28.
138Zadanie 20.
142Zadanie 23.
148