W tym zadaniu musisz obliczyć jaki jest wynik przemnożenia wszystkich rozwiązań równania 2x4 – x2 – 15 = 0.
Odpowiedź: B. -3
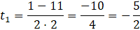
Aby obliczyć iloczyn rozwiązań tego równania musisz po prostu je rozwiązać. Zauważ, że jest to równanie dwukwadratowe. Dlatego musisz za x2 podstawić zmienną pomocniczą t, aby otrzymać zwykłe równanie kwadratowe. Takie równanie możesz rozwiązać standardowo, przy użyciu Δ.
Otrzymujesz dwie wartości zmiennej t. Musisz dla każdej z nich zamienić t na x2.
Zauważ, że w pierwszym przypadku otrzymujesz x2 równe liczbie ujemnej. Jednakże nie istnieje taka liczba rzeczywista, że po podniesieniu do kwadratu daje liczbę ujemną. Dlatego musisz zapisać, że w tym przypadku x∈∅. W drugim przypadku mamy liczbę dodatnią, którą można spierwiastkować. Pamiętaj, że jeśli pierwiastkujesz wyrażenie podniesione do kwadratu, otrzymujesz dwa rozwiązania – jedno dodatnie, drugie ujemne.
Gdy już otrzymasz rozwiązania początkowego równania, musisz je przemnożyć.
Zadanie 16.
89Zadanie 17.
90Zadanie 18.
90Zadanie 25.
98Zadanie 27.
98Zadanie 16.
103Zadanie 17.
103Zadanie 19.
103Zadanie 14.
111Zadanie 13.
114Zadanie 14.
114Zadanie 21.
131Zadanie 23.
137Zadanie 28.
138Zadanie 20.
142Zadanie 23.
148