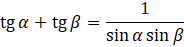
W tym zadaniu musisz udowodnić, że dla kątów ostrych α i β trójkąta prostokątnego, zachodzi własność:
Ponieważ kątyα i β są kątami w trójkącie prostokątnym to zachodzi:
Co kończy dowód.
Na początku zadania warto zauważyć, że skoro α i β są kątami w trójkącie prostokątnym, to z tego, że suma wszystkich kątów w trójkącie musi wynosić 180° możesz wyprowadzić:
Oczywiście musisz oprócz kątów α i β uwzględnić kąt prosty.
Aby dowieść prawdziwości równości wystarczy, że pokażesz, że lewą stronę można przekształcić w prawą stronę, bądź na odwrót (ewentualnie, że obie strony da się przekształcić w takie same wyrażenia). W tym wypadku warto przekształcić lewą stronę.
Lewą stronę możesz rozpisać jako:
Na początku korzystasz z tego, że tangens to iloraz sinusa i cosinusa danego kąta. Potem do drugiego ułamka stosujesz odpowiednie wzory redukcyjne z tablic maturalnych. Następnie warto sprowadzić wyrażenie do wspólnego mianownika. Zauważ, że w liczniku dostajesz jedynkę trygonometryczną, zaś w mianowniku cos α możesz na podstawie tych samych wzorów redukcyjnych co wcześniej, zapisać jako sin (90° – α). Z kolei 90° – α to po prostu kąt β. Więc lewa strona równa się prawej, co kończy dowód.
Zadanie 16.
89Zadanie 17.
90Zadanie 18.
90Zadanie 25.
98Zadanie 27.
98Zadanie 16.
103Zadanie 17.
103Zadanie 19.
103Zadanie 14.
111Zadanie 13.
114Zadanie 14.
114Zadanie 21.
131Zadanie 23.
137Zadanie 28.
138Zadanie 20.
142Zadanie 23.
148