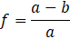
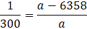
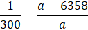
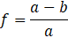
W tym zadaniu trzeba wyznaczyć z dokładnością do 1 km o ile kilometrów odległość od środka Ziemi do równika jest większa od odległości do bieguna. Wiadomo, że żadna z planet nie ma kształtu kuli, a dla Ziemi współczynnik spłaszczenia wynosi
Odp.: Odległość środka Ziemi do równika, jest o 21 km większa niż odległość środka Ziemi do bieguna.
W tym zadaniu musisz po prostu podstawić dane do wzoru podanego w treści. Otrzymasz równanie, w którym po obu stronach stoją ułamki.
Takie równania najprościej rozwiązywać przez przemnożenie „na krzyż”.
Otrzymujesz proste równanie liniowe.
Otrzymany wynik musisz zaokrąglić do jednostek (czyli kilometrów).
Pamiętaj, że w tym zadaniu musisz obliczyć o ile odległość do równika jest większa od odległości do bieguna, więc w ostatnim kroku oblicz różnicę tych dwóch wartości.
Zadanie 16.
89Zadanie 17.
90Zadanie 18.
90Zadanie 25.
98Zadanie 27.
98Zadanie 16.
103Zadanie 17.
103Zadanie 19.
103Zadanie 14.
111Zadanie 13.
114Zadanie 14.
114Zadanie 21.
131Zadanie 23.
137Zadanie 28.
138Zadanie 20.
142Zadanie 23.
148