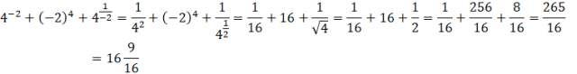
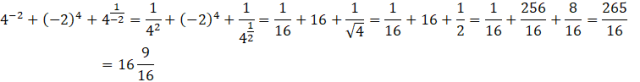
W tym zadaniu musisz wyliczyć wartość wyrażenia
Odpowiedź: C.
W tym zadaniu musisz podstawić za a i b odpowiednie wartości, a następnie obliczyć tak otrzymane wyrażenie. Pamiętaj, że minus w wykładniku oznacza odwrotność danej liczby, zaś ułamek oznacza pierwiastek o stopniu równym mianownikowi. Ponadto przy dodawaniu ułamków muszą one mieć taki sam mianownik, dlatego należy sprowadzić je do wspólnego mianownika.
Zadanie 16.
89Zadanie 17.
90Zadanie 18.
90Zadanie 25.
98Zadanie 27.
98Zadanie 16.
103Zadanie 17.
103Zadanie 19.
103Zadanie 14.
111Zadanie 13.
114Zadanie 14.
114Zadanie 21.
131Zadanie 23.
137Zadanie 28.
138Zadanie 20.
142Zadanie 23.
148