W tym zadaniu musisz obliczyć pole całej powierzchni ostrosłupa, którego podstawę stanowi trójkąt równoboczny o krawędzi długości 8, oraz o krawędzi bocznej prostopadłej do podstawy o długości 6.
Odpowiedź: D.
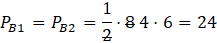
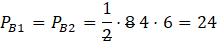
Dwie ściany boczne tego ostrosłupa będą trójkątami prostokątnymi o przyprostokątnych o długości 8 (krawędź podstawy) oraz 6 (krawędź boczna prostopadła do podstawy. Więc pole każdego takiego trójkąta będzie wynosiło:
Trzecia ściana boczna będzie trójkątem równoramiennym o podstawie 8 (krawędź podstawy) oraz ramionach będącymi przeciwprostokątnymi wcześniej wspominanych trójkątów. Długość tych ramion (oznacz ją jako np. b) obliczysz z twierdzenia Pitagorasa:
Oczywiście pierwiastkując obie strony nie musisz rozważać ujemnych przypadków.
Ponieważ znasz długości wszystkich trzech boków trójkąta będącego trzecią ścianą boczną, aby policzyć jego pole skorzystaj ze wzoru Herona na pole trójkąta. Obwód tego trójkąta wynosi: 8 + 10 + 10 = 28, więc potrzebna do tego wzoru połowa obwodu wynosi 14.
Aby policzyć pole powierzchni całkowitej potrzebujesz jeszcze pola podstawy. Do jego obliczenia skorzystaj ze wzoru na pole trójkąta równoramiennego.
Pole powierzchni całkowitej to po prostu suma tych wszystkich pól.
Zadanie 16.
89Zadanie 17.
90Zadanie 18.
90Zadanie 25.
98Zadanie 27.
98Zadanie 16.
103Zadanie 17.
103Zadanie 19.
103Zadanie 14.
111Zadanie 13.
114Zadanie 14.
114Zadanie 21.
131Zadanie 23.
137Zadanie 28.
138Zadanie 20.
142Zadanie 23.
148