W tym zadaniu musisz rozbić na dwa ułamki o mianownikach x + 2 oraz x – 1 wyrażenie
Dla każdej podanej odpowiedzi wspólny mianownik będzie wynosił:
Odpowiedź: A.
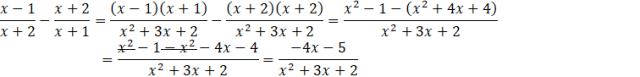
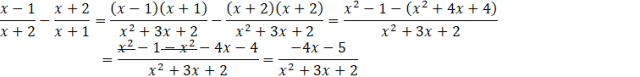
Aby określić które z podanych wyrażeń jest równe wyrażeniu wyjściowemu, musisz sprowadzić je do wspólnego mianownika i porównać w wyrażeniem wyjściowym. Mianowniki dwóch ułamków w każdej odpowiedzi to x + 2 oraz x + 1, więc wspólny mianownik będzie taki sam w każdym przypadku i będzie wynosił:
Co jest równe mianownikowi ułamka wyjściowego. Kiedy już wszystkie ułamki będą miały wspólny mianownik możesz zapisać je pod jedną kreską ułamkową.
W pierwszym ułamku skorzystaj ze wzoru skróconego mnożenia na różnicę kwadratów, zaś w drugim na kwadrat sumy. Otrzymany wynik jest równy ułamkowi wyjściowemu.
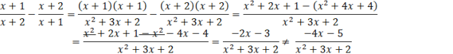
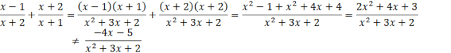
W obu ułamkach skorzystaj ze wzoru skróconego mnożenia na kwadrat sumy. Otrzymany wynik to nie jest ułamek wyjściowy.
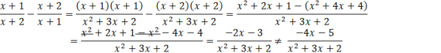
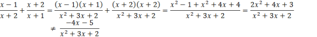
W pierwszym ułamku skorzystaj ze wzoru skróconego mnożenia na różnicę kwadratów, zaś w drugim na kwadrat sumy. Otrzymany wynik to nie jest ułamek wyjściowy.
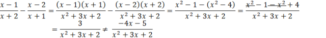
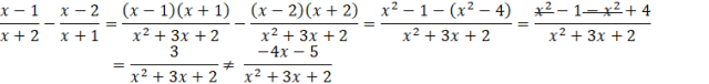
W obu ułamkach skorzystaj ze wzoru skróconego mnożenia na różnicę kwadratów. Otrzymany wynik to nie jest ułamek wyjściowy.
Zadanie 16.
89Zadanie 17.
90Zadanie 18.
90Zadanie 25.
98Zadanie 27.
98Zadanie 16.
103Zadanie 17.
103Zadanie 19.
103Zadanie 14.
111Zadanie 13.
114Zadanie 14.
114Zadanie 21.
131Zadanie 23.
137Zadanie 28.
138Zadanie 20.
142Zadanie 23.
148