W tym zadaniu musisz wyznaczyć długość dwóch ostatnich skoków, obliczyć średnią arytmetyczna wszystkich oddanych skoków i podać, ile spośród oddanych przez narciarza skoków było dłuższych od otrzymanej średniej.
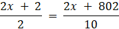
Niech x i x + 2 będą długościami dwóch ostatnich skoków. Zgodnie z opisanymi w treści wartościami średnich można zapisać równość:
Średnia długość skoku wynosiła zatem:
Cztery skoki były dłuższe niż otrzymana średnia.
Skoczek oddal 4 skoki dłuższe niż wynosiła średnia długość jego skoku.
Dla zbioru danych
Zadanie 1
276Zadanie 4
276Zadanie 8
277Zadanie 17
278Zadanie 20
278Zadanie 2
279Zadanie 6
280Zadanie 7
280Zadanie 8
280Zadanie 9
280Zadanie 10
281Zadanie 11
281Zadanie 12
281Zadanie 13
282Zadanie 18
283Zadanie 20
283Zadanie 23
283Zadanie 1
284Zadanie 3
284Zadanie 4
284Zadanie 7
285Zadanie 14
286Zadanie 15
286Zadanie 22
287Zadanie 1
288Zadanie 8
289Zadanie 16
291Zadanie 1
292Zadanie 6
292Zadanie 8
293