W tym zadaniu musisz znaleźć średnia, medianę i odchylenie standardowe dla dwóch zestawów wyników rzutów, a następnie je porównać.
Dla dziewięciu serii:
Dane uporządkowane rosnąco to:
2, 2, 2, 3, 4, 4, 6, 6, 7
Mediana wynosi 4.
2 – 4 = -2
3 – 4 = -1
4 – 4 = 0
6 – 4 = 2
7 – 4 = 3
Dla dziesięciu serii:
Dane uporządkowane rosnąco to:
2, 2, 2, 3, 4, 4, 4, 6, 6, 7
Mediana wynosi (4 + 4) : 2 = 4.
2 – 4 = -2
3 – 4 = -1
4 – 4 = 0
6 – 4 = 2
7 – 4 = 3
Średnia i mediana nie zmienia się, odchylenie standardowe zmniejszy się o około 0,01.
Dla zbioru danych
Wariancje obliczysz ze wzoru:
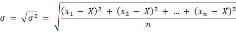
Odchylenie standardowe wyznaczysz ze wzoru:
Zadanie 1
276Zadanie 4
276Zadanie 8
277Zadanie 17
278Zadanie 20
278Zadanie 2
279Zadanie 6
280Zadanie 7
280Zadanie 8
280Zadanie 9
280Zadanie 10
281Zadanie 11
281Zadanie 12
281Zadanie 13
282Zadanie 18
283Zadanie 20
283Zadanie 23
283Zadanie 1
284Zadanie 3
284Zadanie 4
284Zadanie 7
285Zadanie 14
286Zadanie 15
286Zadanie 22
287Zadanie 1
288Zadanie 8
289Zadanie 16
291Zadanie 1
292Zadanie 6
292Zadanie 8
293