W tym zadaniu musisz znaleźć odchylenie standardowe podanego zestawu danych oraz zestawu bez jednej z liczb, a następnie je porównać.
Po pominięciu wypłaty najwyższej odchylenie standardowe zmniejszy się o 35 zł.
Dla zbioru danych
Wariancje obliczysz ze wzoru:
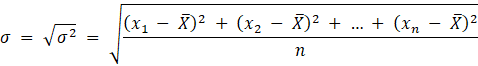
Odchylenie standardowe wyznaczysz ze wzoru:
Zadanie 1
276Zadanie 4
276Zadanie 8
277Zadanie 17
278Zadanie 20
278Zadanie 2
279Zadanie 6
280Zadanie 7
280Zadanie 8
280Zadanie 9
280Zadanie 10
281Zadanie 11
281Zadanie 12
281Zadanie 13
282Zadanie 18
283Zadanie 20
283Zadanie 23
283Zadanie 1
284Zadanie 3
284Zadanie 4
284Zadanie 7
285Zadanie 14
286Zadanie 15
286Zadanie 22
287Zadanie 1
288Zadanie 8
289Zadanie 16
291Zadanie 1
292Zadanie 6
292Zadanie 8
293