W tym zadaniu musisz pokazać, ze odchylenie standardowe podanego zestawu liczb jest równe stałej wartości.
Niech x, x + 1, x + 2, x + 3, x + 4, x + 5, x + 6 będą kolejnymi liczbami całkowitymi.
Ich średnia wynosi x + 3.
Odchylenie kolejnych danych od średniej to odpowiednio: -3, -2, -1, 0, 1, 2, 3.
Wariancja tego zestawu danych to zatem
Dla zbioru danych
Wariancje obliczysz ze wzoru:
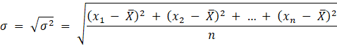
Odchylenie standardowe wyznaczysz ze wzoru:
Zadanie 1
276Zadanie 4
276Zadanie 8
277Zadanie 17
278Zadanie 20
278Zadanie 2
279Zadanie 6
280Zadanie 7
280Zadanie 8
280Zadanie 9
280Zadanie 10
281Zadanie 11
281Zadanie 12
281Zadanie 13
282Zadanie 18
283Zadanie 20
283Zadanie 23
283Zadanie 1
284Zadanie 3
284Zadanie 4
284Zadanie 7
285Zadanie 14
286Zadanie 15
286Zadanie 22
287Zadanie 1
288Zadanie 8
289Zadanie 16
291Zadanie 1
292Zadanie 6
292Zadanie 8
293