W tym zadaniu musisz znaleźć średnią dla podanego zestawu odpowiedzi.
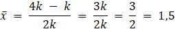
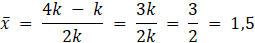
Jeśli wariancja uzyskanych wyników wynosi 0,25, to średnia jest równa: D. 1,50.
W zadaniu może pomóc Ci wzór:
Wiadomo, ze:
Niech uczniów w pytanej grupie będzie n, odpowiedzi „1 książka” będzie k, wtedy odpowiedzi „2 książki” będzie n – k. Wtedy:
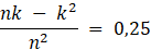
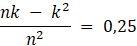
Z powyższego wzoru można ułożyć równanie:
Podstawiając do
Zadanie 1
276Zadanie 4
276Zadanie 8
277Zadanie 17
278Zadanie 20
278Zadanie 2
279Zadanie 6
280Zadanie 7
280Zadanie 8
280Zadanie 9
280Zadanie 10
281Zadanie 11
281Zadanie 12
281Zadanie 13
282Zadanie 18
283Zadanie 20
283Zadanie 23
283Zadanie 1
284Zadanie 3
284Zadanie 4
284Zadanie 7
285Zadanie 14
286Zadanie 15
286Zadanie 22
287Zadanie 1
288Zadanie 8
289Zadanie 16
291Zadanie 1
292Zadanie 6
292Zadanie 8
293