W tym zadaniu musisz znaleźć średnią i odchylenie standardowe danych pokazanych na diagramie.
Średnia wydawanych kwot to 62,5 zł.
25 – 62,5 = -37,5
50 – 62,5 = -12,5
75 – 62,5 = 12,5
100 – 62,5 = 37,5
Odchylenie standardowe wynosi 27,37 zł.
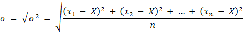
Dla zbioru danych
Wariancje obliczysz ze wzoru:
Odchylenie standardowe wyznaczysz ze wzoru:
Zadanie 1
276Zadanie 4
276Zadanie 8
277Zadanie 17
278Zadanie 20
278Zadanie 2
279Zadanie 6
280Zadanie 7
280Zadanie 8
280Zadanie 9
280Zadanie 10
281Zadanie 11
281Zadanie 12
281Zadanie 13
282Zadanie 18
283Zadanie 20
283Zadanie 23
283Zadanie 1
284Zadanie 3
284Zadanie 4
284Zadanie 7
285Zadanie 14
286Zadanie 15
286Zadanie 22
287Zadanie 1
288Zadanie 8
289Zadanie 16
291Zadanie 1
292Zadanie 6
292Zadanie 8
293