W tym zadaniu musisz znaleźć procent dziewcząt wśród uczniów tej klasy, a następnie obliczyć średnią ocen dla całej klasy.
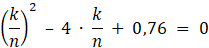
Niech n będzie ilością wszystkich uczniów w klasie, a k – ilością dziewcząt. Mamy kolejno:
Można ułożyć równanie:
Podstawienie:
Z powyższego wynika, ze dziewczęta stanowią 20 % uczniów tej klasy. Ponadto:
Dziewczęta stanowią 20% uczniów tej klasy. Średnia ocen w tej klasie to 3,8.
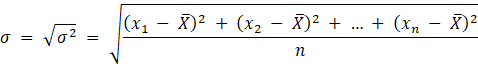
Dla zbioru danych
Wariancje obliczysz ze wzoru:
Odchylenie standardowe wyznaczysz ze wzoru:
W zadaniu powinieneś skorzystać ze wzoru:
Przez n możesz oznaczyć liczbę uczniów całej klasy, przez k liczbę dziewcząt. Korzystając z powyższej równości powinieneś wyznaczyć iloraz
Zadanie 1
276Zadanie 4
276Zadanie 8
277Zadanie 17
278Zadanie 20
278Zadanie 2
279Zadanie 6
280Zadanie 7
280Zadanie 8
280Zadanie 9
280Zadanie 10
281Zadanie 11
281Zadanie 12
281Zadanie 13
282Zadanie 18
283Zadanie 20
283Zadanie 23
283Zadanie 1
284Zadanie 3
284Zadanie 4
284Zadanie 7
285Zadanie 14
286Zadanie 15
286Zadanie 22
287Zadanie 1
288Zadanie 8
289Zadanie 16
291Zadanie 1
292Zadanie 6
292Zadanie 8
293