W tym zadaniu musisz znaleźć średnia i odchylenie standardowe dla ocen z testu.
Polowa uczniów dostała trojkę, czyli 0,5 wszystkich uczniów.
30 % uczniów dostało czwórkę, czyli 0,3 wszystkich uczniów.
Pozostali otrzymali piątkę, czyli 1 – 0,5 – 0,3 = 0,2 wszystkich uczniów.
3 – 3,7 = -0,7
4 – 3,7 = 0,3
5 – 3,7 = 1,3
Średnia ocen wynosi 3,7. Odchylenie standardowe jest równe 0,78.
Dla zbioru danych
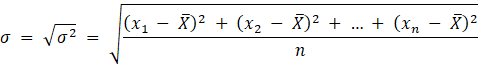
Wariancje obliczysz ze wzoru:
Odchylenie standardowe wyznaczysz ze wzoru:
Zadanie 1
276Zadanie 4
276Zadanie 8
277Zadanie 17
278Zadanie 20
278Zadanie 2
279Zadanie 6
280Zadanie 7
280Zadanie 8
280Zadanie 9
280Zadanie 10
281Zadanie 11
281Zadanie 12
281Zadanie 13
282Zadanie 18
283Zadanie 20
283Zadanie 23
283Zadanie 1
284Zadanie 3
284Zadanie 4
284Zadanie 7
285Zadanie 14
286Zadanie 15
286Zadanie 22
287Zadanie 1
288Zadanie 8
289Zadanie 16
291Zadanie 1
292Zadanie 6
292Zadanie 8
293