Zdecyduj, którego dnia turysta szedł z w najszybszym tempie, jeśli pierwszego dnia wędrówki przybył 25 km w ciągu 7 godzin, drugiego dnia przeszedł 26 km w 8 godzin, a trzeciego – 16 km w 5 h.
Prędkość, jaką uzyskał pierwszego dnia:
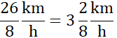
Drugiego dnia:
Trzeciego dnia:
Sprowadź ułamki do wspólnego licznika i porównaj:
Ułamek
Turysta szedł najszybciej pierwszego dnia.
Podziel odległość przebytą w danym dniu przez czas, w jakim przeszedł. Otrzymasz w ten sposób prędkość. Porównaj ułamki, jakie otrzymałeś. Pamiętaj, jeśli ułamek jest większy od jednej drugiej, czyli od połowy, to licznik musi być większy od połowy mianownika.
Ćwiczenie 1.
31Ćwiczenie 3.
31Ćwiczenie 4.
32Ćwiczenie 5.
32Ćwiczenie 8.
32Ćwiczenie 9.
33Ćwiczenie 10.
33Ćwiczenie 11.
33Ćwiczenie 12.
33Ćwiczenie 1.
34Ćwiczenie 3.
34Ćwiczenie 4.
34Ćwiczenie 5.
34Ćwiczenie 6.
34Ćwiczenie 2.
35Ćwiczenie 3.
35Ćwiczenie 4.
35Ćwiczenie 5.
35Ćwiczenie 6.
35Ćwiczenie 8.
36Ćwiczenie 10.
36Ćwiczenie 1.
37Ćwiczenie 4.
37Ćwiczenie 5.
37Ćwiczenie 6.
37Ćwiczenie 11.
38Ćwiczenie 1.
39Ćwiczenie 2.
39Ćwiczenie 3.
39Ćwiczenie 4.
39Ćwiczenie 5.
39Ćwiczenie 6.
40Ćwiczenie 7.
40Ćwiczenie 10.
40Ćwiczenie 1.
41Ćwiczenie 3.
41Ćwiczenie 6.
42Ćwiczenie 13.
43Ćwiczenie 1.
44Ćwiczenie 2.
44Ćwiczenie 4.
44Ćwiczenie 6.
44Ćwiczenie 8.
45Ćwiczenie 1.
46Ćwiczenie 3.
46Ćwiczenie 5.
47Ćwiczenie 3.
46Ćwiczenie 4.
46Ćwiczenie 5.
46Ćwiczenie 6.
49Ćwiczenie 1.
50Ćwiczenie 4.
50Ćwiczenie 5.
51Ćwiczenie 6.
51Ćwiczenie 1.
52Ćwiczenie 3.
52Ćwiczenie 6.
53Ćwiczenie 8.
53Ćwiczenie 2.
54Ćwiczenie 3.
54Ćwiczenie 4.
54Ćwiczenie 6.
54Ćwiczenie 8.
55Ćwiczenie 10.
55Ćwiczenie 11.
55Ćwiczenie 12.
55