Dopisz liczniki do liczby mieszanej.
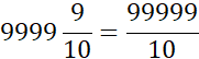
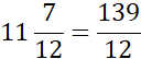
Jeśli chcesz zamienić ułamek niewłaściwy na liczbę mieszaną, to podziel licznik przez mianownik. Wynik będzie liczbą całości, a reszta liczbą w liczniku. Mianownik zostaje bez zmian.
99999 : 10 = 9999 reszta 9
139 : 12 = 11 reszta 7
Ćwiczenie 1.
31Ćwiczenie 3.
31Ćwiczenie 4.
32Ćwiczenie 5.
32Ćwiczenie 8.
32Ćwiczenie 9.
33Ćwiczenie 10.
33Ćwiczenie 11.
33Ćwiczenie 12.
33Ćwiczenie 1.
34Ćwiczenie 3.
34Ćwiczenie 4.
34Ćwiczenie 5.
34Ćwiczenie 6.
34Ćwiczenie 2.
35Ćwiczenie 3.
35Ćwiczenie 4.
35Ćwiczenie 5.
35Ćwiczenie 6.
35Ćwiczenie 8.
36Ćwiczenie 10.
36Ćwiczenie 1.
37Ćwiczenie 4.
37Ćwiczenie 5.
37Ćwiczenie 6.
37Ćwiczenie 11.
38Ćwiczenie 1.
39Ćwiczenie 2.
39Ćwiczenie 3.
39Ćwiczenie 4.
39Ćwiczenie 5.
39Ćwiczenie 6.
40Ćwiczenie 7.
40Ćwiczenie 10.
40Ćwiczenie 1.
41Ćwiczenie 3.
41Ćwiczenie 6.
42Ćwiczenie 13.
43Ćwiczenie 1.
44Ćwiczenie 2.
44Ćwiczenie 4.
44Ćwiczenie 6.
44Ćwiczenie 8.
45Ćwiczenie 1.
46Ćwiczenie 3.
46Ćwiczenie 5.
47Ćwiczenie 3.
46Ćwiczenie 4.
46Ćwiczenie 5.
46Ćwiczenie 6.
49Ćwiczenie 1.
50Ćwiczenie 4.
50Ćwiczenie 5.
51Ćwiczenie 6.
51Ćwiczenie 1.
52Ćwiczenie 3.
52Ćwiczenie 6.
53Ćwiczenie 8.
53Ćwiczenie 2.
54Ćwiczenie 3.
54Ćwiczenie 4.
54Ćwiczenie 6.
54Ćwiczenie 8.
55Ćwiczenie 10.
55Ćwiczenie 11.
55Ćwiczenie 12.
55