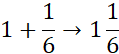
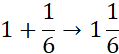
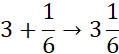
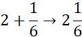
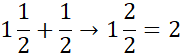
Uzupełnij graf.
W grafie mamy dodawanie 3 ułamków, które się powtarzają i zmieniają się co 1, więc nie musisz liczyć wszystkich przykładów, wystarczy, że policzysz pierwsze 3 przykłady:
Reszta działań będzie taka sama, tylko liczby całości się zmienią.
Ćwiczenie 1.
31Ćwiczenie 3.
31Ćwiczenie 4.
32Ćwiczenie 5.
32Ćwiczenie 8.
32Ćwiczenie 9.
33Ćwiczenie 10.
33Ćwiczenie 11.
33Ćwiczenie 12.
33Ćwiczenie 1.
34Ćwiczenie 3.
34Ćwiczenie 4.
34Ćwiczenie 5.
34Ćwiczenie 6.
34Ćwiczenie 2.
35Ćwiczenie 3.
35Ćwiczenie 4.
35Ćwiczenie 5.
35Ćwiczenie 6.
35Ćwiczenie 8.
36Ćwiczenie 10.
36Ćwiczenie 1.
37Ćwiczenie 4.
37Ćwiczenie 5.
37Ćwiczenie 6.
37Ćwiczenie 11.
38Ćwiczenie 1.
39Ćwiczenie 2.
39Ćwiczenie 3.
39Ćwiczenie 4.
39Ćwiczenie 5.
39Ćwiczenie 6.
40Ćwiczenie 7.
40Ćwiczenie 10.
40Ćwiczenie 1.
41Ćwiczenie 3.
41Ćwiczenie 6.
42Ćwiczenie 13.
43Ćwiczenie 1.
44Ćwiczenie 2.
44Ćwiczenie 4.
44Ćwiczenie 6.
44Ćwiczenie 8.
45Ćwiczenie 1.
46Ćwiczenie 3.
46Ćwiczenie 5.
47Ćwiczenie 3.
46Ćwiczenie 4.
46Ćwiczenie 5.
46Ćwiczenie 6.
49Ćwiczenie 1.
50Ćwiczenie 4.
50Ćwiczenie 5.
51Ćwiczenie 6.
51Ćwiczenie 1.
52Ćwiczenie 3.
52Ćwiczenie 6.
53Ćwiczenie 8.
53Ćwiczenie 2.
54Ćwiczenie 3.
54Ćwiczenie 4.
54Ćwiczenie 6.
54Ćwiczenie 8.
55Ćwiczenie 10.
55Ćwiczenie 11.
55Ćwiczenie 12.
55