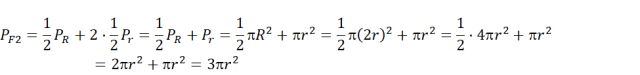
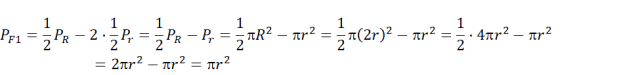
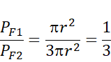
Zauważ, że figura F1 składa się z półokręgu o promieniu R (= 2r) i wyciętych dwóch półokręgów o promieniu r. Natomiast figura F2 składa się z półokręgu o promieniu R (= 2r) i dwóch półokręgów o promieniu r. Oblicz wskazane pola i wyznacz ich stosunek.