Skul.pl
  • Opracowania zadań z podręczników
  • Matematyka. Klasa 8. Zeszyt ćwiczeń - rozwiązania i odpowiedzi
  • Podpunkt b)

Matematyka. Klasa 8. Zeszyt ćwiczeń - rozwiązania i odpowiedzi

Zeszyt ćwiczeń, Wydawnictwo: WSiP
Poprzednie

Zadanie 3., b) - strona 75

Następne

Zadanie

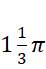
Wyznacz długość promienia koła, którego obwód wynosi .

Rozwiązanie

Skul

Wyjaśnienie

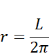
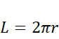
Skorzystaj ze wzoru na obwód koła , gdzie r – promień koła, z którego wyznacz ten promień.

Poprzednie
Następne

Matematyka - wybrane pytania

Zadanie 1., strona 75, Matematyka. Klasa 4. Podręcznik. Część 2 - rozwiązania i odpowiedzi
Zadanie 51, strona 93, Matematyka z plusem. Klasa 6. Zbiór zadań – rozwiązania i odpowiedzi
Zadanie 13, strona 81, Matematyka z plusem. Klasa 7. Zbiór zadań – rozwiązania i odpowiedzi
Ćwiczenie Co było na lekcji? 2.2, strona 42, Matematyka. Klasa 5. Zeszyt ćwiczeń. Część 2 - rozwiązania i odpowiedzi
Zadanie 25., strona 120, MATeMAtyka. Klasa 3. Zbiór zadań. Zakres podstawowy – rozwiązania i odpowiedzi
Zadanie 5, strona 86, MATeMAtyka 4. Podręcznik dla liceum ogólnokształcącego i technikum. Zakres podstawowy
Zadanie 6., strona 152, Matematyka. Klasa 7. Zbiór zadań – rozwiązania i odpowiedzi
Zadanie 5., strona 208, MATeMAtyka 1. Zakres podstawowy i rozszerzony. Zbiór zadań – rozwiązania i odpowiedzi
Zadanie 32, strona 252, Matematyka. Klasa 6. Podręcznik - rozwiązania i odpowiedzi
Zadanie 13, strona 160, Matematyka z kluczem. Klasa 4. Zbiór zadań – rozwiązania i odpowiedzi
REKLAMA
Skul
Zadania z tego działu
9. Koło i okrąg
72
9.1. Liczba π
72

Zadanie 1.

72

Zadanie 2.

72

Zadanie 3.

72

Zadanie 4.

72

Zadanie 5.

73

Zadanie 6.

73

Podpunkt a)

73

Podpunkt b)

73

Podpunkt c)

73

Podpunkt d)

73

Podpunkt e)

73

Podpunkt f)

73

Podpunkt g)

73

Zadanie 7.

73

Podpunkt a)

73

Podpunkt b)

73

Zadanie 8.

73

Podpunkt a)

73

Podpunkt b)

73

Zadanie 9.

74

Podpunkt a)

74

Podpunkt b)

74

Podpunkt c)

74

Zadanie 10.

74

Zadanie 11.

74
9.2. Długość okręgu
75

Zadanie 1.

75

Zadanie 2.

75

Zadanie 3.

75

Podpunkt a)

75

Podpunkt b)

75

Podpunkt c)

75

Zadanie 4.

76

Podpunkt a)

76

Podpunkt b)

76

Podpunkt c)

76

Zadanie 5.

76

Zadanie 6.

77

Zadanie 7.

77

Zadanie 8.

77
9.3. Pole koła
78

Zadanie 1.

78

Zadanie 2.

78

Zadanie 3.

78

Podpunkt a)

78

Podpunkt b)

78

Podpunkt c)

78

Podpunkt d)

78

Zadanie 4.

78

Podpunkt a)

78

Podpunkt b)

78

Podpunkt c)

78

Podpunkt d)

78

Zadanie 5.

79

Zadanie 6.

79

Podpunkt a)

79

Podpunkt b)

79

Zadanie 7.

80

Zadanie 8.

80

Zadanie 9.

80
Pełny spis treści
Skul
Artboard 1
Skul.pl
  • Napisz do nas
  • FAQ
  • Mapa Serwisu
  • Google Play
  • App Store

Korzystanie z portalu oznacza akceptację Regulaminu.
Polityka prywatności. Ustawienia preferencji. Copyright: INTERIA.PL 1999-2023 Wszystkie prawa zastrzeżone.