Skul.pl
  • Opracowania zadań z podręczników
  • Matematyka. Klasa 8. Zeszyt ćwiczeń - rozwiązania i odpowiedzi
  • Podpunkt b)

Matematyka. Klasa 8. Zeszyt ćwiczeń - rozwiązania i odpowiedzi

Zeszyt ćwiczeń, Wydawnictwo: WSiP
Poprzednie

Zadanie 7., b) - strona 73

Następne

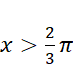
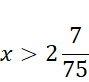
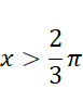
Zadanie

Wyznacz najmniejszą liczbę całkowitą, dla której nierówność jest prawdziwa.

Rozwiązanie

Najmniejsza liczba całkowita:

Skul

Wyjaśnienie

Skorzystaj z przybliżenia . Następnie wyznacz najmniejszą liczbę całkowitą, która spełnia tę nierówność.

Poprzednie
Następne

Matematyka - wybrane pytania

Zadanie 3, strona 161, Matematyka. Klasa 5. Podręcznik. Część 1 - rozwiązania i odpowiedzi
Zadanie S4, strona 58, Matematyka z plusem. Klasa 2. Podręcznik. Zakres rozszerzony – rozwiązania i odpowiedzi
Zadanie 2.27., strona 236, Prosto do matury 4. Zakres podstawowy i rozszerzony. Podręcznik - rozwiązania i odpowiedzi
Ćwiczenie podejmij temat 4, strona 62, Matematyka. Klasa 6. Podręcznik. Część 2 - rozwiązania i odpowiedzi
Ćwiczenie 14, strona 167, Matematyka wokół nas. Klasa 4. Podręcznik - rozwiązania i odpowiedzi
Ćwiczenie 8., strona 81, Matematyka z Plusem. Liczby naturalne i ułamki zwykłe. Klasa 5. Zeszyt ćwiczeń. Wersja A. Część 1/3 - rozwiązania i odpowiedzi
Zadanie 10., strona 210, Matematyka wokół nas. Klasa 7. Podręcznik - rozwiązania i odpowiedzi
Ćwiczenie sprawdzające 1., strona 103, Matematyka. Klasa 8. Podręcznik - rozwiązania i odpowiedzi
Zadanie 31, strona 79, MATeMAtyka. Klasa 1. Zbiór zadań. Zakres podstawowy – rozwiązania i odpowiedzi
Zadanie 13., strona 129, Matematyka. Klasa 7. Podręcznik – rozwiązania i odpowiedzi
REKLAMA
Skul
Zadania z tego działu
9. Koło i okrąg
72
9.1. Liczba π
72

Zadanie 1.

72

Zadanie 2.

72

Zadanie 3.

72

Zadanie 4.

72

Zadanie 5.

73

Zadanie 6.

73

Podpunkt a)

73

Podpunkt b)

73

Podpunkt c)

73

Podpunkt d)

73

Podpunkt e)

73

Podpunkt f)

73

Podpunkt g)

73

Zadanie 7.

73

Podpunkt a)

73

Podpunkt b)

73

Zadanie 8.

73

Podpunkt a)

73

Podpunkt b)

73

Zadanie 9.

74

Podpunkt a)

74

Podpunkt b)

74

Podpunkt c)

74

Zadanie 10.

74

Zadanie 11.

74
9.2. Długość okręgu
75

Zadanie 1.

75

Zadanie 2.

75

Zadanie 3.

75

Podpunkt a)

75

Podpunkt b)

75

Podpunkt c)

75

Zadanie 4.

76

Podpunkt a)

76

Podpunkt b)

76

Podpunkt c)

76

Zadanie 5.

76

Zadanie 6.

77

Zadanie 7.

77

Zadanie 8.

77
9.3. Pole koła
78

Zadanie 1.

78

Zadanie 2.

78

Zadanie 3.

78

Podpunkt a)

78

Podpunkt b)

78

Podpunkt c)

78

Podpunkt d)

78

Zadanie 4.

78

Podpunkt a)

78

Podpunkt b)

78

Podpunkt c)

78

Podpunkt d)

78

Zadanie 5.

79

Zadanie 6.

79

Podpunkt a)

79

Podpunkt b)

79

Zadanie 7.

80

Zadanie 8.

80

Zadanie 9.

80
Pełny spis treści
Skul
Artboard 1
Skul.pl
  • Napisz do nas
  • FAQ
  • Mapa Serwisu
  • Google Play
  • App Store

Korzystanie z portalu oznacza akceptację Regulaminu.
Polityka prywatności. Ustawienia preferencji. Copyright: INTERIA.PL 1999-2023 Wszystkie prawa zastrzeżone.