Skul.pl
  • Opracowania zadań z podręczników
  • Matematyka. Klasa 8. Zeszyt ćwiczeń - rozwiązania i odpowiedzi
  • Podpunkt d)

Matematyka. Klasa 8. Zeszyt ćwiczeń - rozwiązania i odpowiedzi

Zeszyt ćwiczeń, Wydawnictwo: WSiP
Poprzednie

Zadanie 6., d) - strona 73

Następne

Zadanie

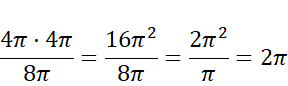
Uprość wyrażenie .

Rozwiązanie

Skul

Wyjaśnienie

Skróć wyrażenie, dzieląc licznik i mianownik przez wspólną liczbę.

Poprzednie
Następne

Matematyka - wybrane pytania

Zadanie 39, strona 73, Matematyka z plusem. Klasa 6. Zbiór zadań – rozwiązania i odpowiedzi
Zadanie 16., strona 87, Nowa teraz matura 4. Poziom rozszerzony. Zbiór zadań - rozwiązania i odpowiedzi
Zadanie 4., strona 38, Matematyka. Klasa 3. Podręcznik. Zakres podstawowy - rozwiązania i odpowiedzi
Zadanie 45., strona 82, Prosto do matury. Matematyka. Klasa 2. Podręcznik. Zakres podstawowy i rozszerzony – rozwiązania i odpowiedzi
Zadanie 54., strona 196, Matematyka. Prosto do matury. Klasa 1. Zakres podstawowy i rozszerzony. Podręcznik - rozwiązania i odpowiedzi
Zadanie 33., strona 152, MATeMAtyka. Klasa 1. Zbiór Zadań. Zakres podstawowy i rozszerzony – rozwiązania i odpowiedzi
Zadanie 5, strona 89, Matematyka z plusem. Klasa 7. Podręcznik – rozwiązania i odpowiedzi
Zadanie 17., strona 123, Matematyka z kluczem. Klasa 8. Zbiór zadań – rozwiązania i odpowiedzi
Ćwiczenie 4., strona 170, Matematyka. Klasa 4. Podręcznik. Zakres rozszerzony – rozwiązania i odpowiedzi
Zadanie 39, strona 127, Matematyka. Klasa 2. Zbiór zadań. Zakres rozszerzony – rozwiązania i odpowiedzi
REKLAMA
Skul
Zadania z tego działu
9. Koło i okrąg
72
9.1. Liczba π
72

Zadanie 1.

72

Zadanie 2.

72

Zadanie 3.

72

Zadanie 4.

72

Zadanie 5.

73

Zadanie 6.

73

Podpunkt a)

73

Podpunkt b)

73

Podpunkt c)

73

Podpunkt d)

73

Podpunkt e)

73

Podpunkt f)

73

Podpunkt g)

73

Zadanie 7.

73

Podpunkt a)

73

Podpunkt b)

73

Zadanie 8.

73

Podpunkt a)

73

Podpunkt b)

73

Zadanie 9.

74

Podpunkt a)

74

Podpunkt b)

74

Podpunkt c)

74

Zadanie 10.

74

Zadanie 11.

74
9.2. Długość okręgu
75

Zadanie 1.

75

Zadanie 2.

75

Zadanie 3.

75

Podpunkt a)

75

Podpunkt b)

75

Podpunkt c)

75

Zadanie 4.

76

Podpunkt a)

76

Podpunkt b)

76

Podpunkt c)

76

Zadanie 5.

76

Zadanie 6.

77

Zadanie 7.

77

Zadanie 8.

77
9.3. Pole koła
78

Zadanie 1.

78

Zadanie 2.

78

Zadanie 3.

78

Podpunkt a)

78

Podpunkt b)

78

Podpunkt c)

78

Podpunkt d)

78

Zadanie 4.

78

Podpunkt a)

78

Podpunkt b)

78

Podpunkt c)

78

Podpunkt d)

78

Zadanie 5.

79

Zadanie 6.

79

Podpunkt a)

79

Podpunkt b)

79

Zadanie 7.

80

Zadanie 8.

80

Zadanie 9.

80
Pełny spis treści
Skul
Artboard 1
Skul.pl
  • Napisz do nas
  • FAQ
  • Mapa Serwisu
  • Google Play
  • App Store

Korzystanie z portalu oznacza akceptację Regulaminu.
Polityka prywatności. Ustawienia preferencji. Copyright: INTERIA.PL 1999-2023 Wszystkie prawa zastrzeżone.