Skul.pl
  • Opracowania zadań z podręczników
  • Matematyka. Klasa 8. Zeszyt ćwiczeń - rozwiązania i odpowiedzi
  • Podpunkt b)

Matematyka. Klasa 8. Zeszyt ćwiczeń - rozwiązania i odpowiedzi

Zeszyt ćwiczeń, Wydawnictwo: WSiP
Poprzednie

Zadanie 4., b) - strona 76

Następne

Zadanie

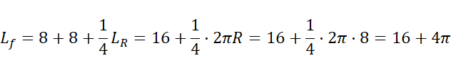
Oblicz obwód zacieniowanej figury, wiedząc, że łuki stanowią czwartą część obwodu okręgu.

Rozwiązanie

Skul

Wyjaśnienie

Zauważ, że obwód wskazanej figury jest sumą dwóch odcinków o długości 8 oraz ćwiartki okręgu o promieniu R.

Poprzednie
Następne

Matematyka - wybrane pytania

Ćwiczenie 15, strona 28, Matematyka. Klasa 1. Podręcznik. Zakres rozszerzony. Część 1 – rozwiązania i odpowiedzi
Zadanie 8, strona 226, Matematyka z plusem. Klasa 8. Podręcznik – rozwiązania i odpowiedzi
Zadanie 114., strona 136, Matematyka z plusem. Klasa 2. Zbiór zadań. Zakres podstawowy i rozszerzony – rozwiązania i odpowiedzi
Zadanie 10.3., strona 230, Matematyka i przykłady jej zastosowań. Klasa 1. Podręcznik. Zakres podstawowy – rozwiązania i odpowiedzi
Ćwiczenie 2., strona 94, Matematyka wokół nas. Klasa 5. Podręcznik - rozwiązania i odpowiedzi
Przykład 1., strona 11, Matematyka z plusem. Klasa 3. Podręcznik. Zakres podstawowy – rozwiązania i odpowiedzi
Zadanie 11, strona 164, Teraz matura. Klasa 4. Zbiór zadań. Poziom podstawowy – rozwiązania i odpowiedzi
Zadanie 26., strona 63, Matematyka z kluczem. Klasa 8. Zbiór zadań – rozwiązania i odpowiedzi
Zadanie 10, strona 92, Matematyka z kluczem. Klasa 6. Zbiór zadań - rozwiązania i odpowiedzi
Zadanie 5, strona 136, MATeMAtyka 4. Zakres podstawowy i rozszerzony. Podręcznik - rozwiązania i odpowiedzi
REKLAMA
Skul
Zadania z tego działu
9. Koło i okrąg
72
9.1. Liczba π
72

Zadanie 1.

72

Zadanie 2.

72

Zadanie 3.

72

Zadanie 4.

72

Zadanie 5.

73

Zadanie 6.

73

Podpunkt a)

73

Podpunkt b)

73

Podpunkt c)

73

Podpunkt d)

73

Podpunkt e)

73

Podpunkt f)

73

Podpunkt g)

73

Zadanie 7.

73

Podpunkt a)

73

Podpunkt b)

73

Zadanie 8.

73

Podpunkt a)

73

Podpunkt b)

73

Zadanie 9.

74

Podpunkt a)

74

Podpunkt b)

74

Podpunkt c)

74

Zadanie 10.

74

Zadanie 11.

74
9.2. Długość okręgu
75

Zadanie 1.

75

Zadanie 2.

75

Zadanie 3.

75

Podpunkt a)

75

Podpunkt b)

75

Podpunkt c)

75

Zadanie 4.

76

Podpunkt a)

76

Podpunkt b)

76

Podpunkt c)

76

Zadanie 5.

76

Zadanie 6.

77

Zadanie 7.

77

Zadanie 8.

77
9.3. Pole koła
78

Zadanie 1.

78

Zadanie 2.

78

Zadanie 3.

78

Podpunkt a)

78

Podpunkt b)

78

Podpunkt c)

78

Podpunkt d)

78

Zadanie 4.

78

Podpunkt a)

78

Podpunkt b)

78

Podpunkt c)

78

Podpunkt d)

78

Zadanie 5.

79

Zadanie 6.

79

Podpunkt a)

79

Podpunkt b)

79

Zadanie 7.

80

Zadanie 8.

80

Zadanie 9.

80
Pełny spis treści
Skul
Artboard 1
Skul.pl
  • Napisz do nas
  • FAQ
  • Mapa Serwisu
  • Google Play
  • App Store

Korzystanie z portalu oznacza akceptację Regulaminu.
Polityka prywatności. Ustawienia preferencji. Copyright: INTERIA.PL 1999-2023 Wszystkie prawa zastrzeżone.