Skul.pl
  • Opracowania zadań z podręczników
  • Matematyka. Klasa 8. Zeszyt ćwiczeń - rozwiązania i odpowiedzi
  • Podpunkt d)

Matematyka. Klasa 8. Zeszyt ćwiczeń - rozwiązania i odpowiedzi

Zeszyt ćwiczeń, Wydawnictwo: WSiP
Poprzednie

Zadanie 4., d) - strona 78

Następne

Zadanie

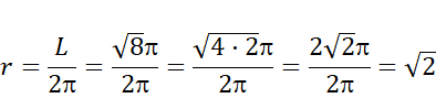
Oblicz pole powierzchni koła, którego obwód wynosi cm.

Rozwiązanie

Skul

Wyjaśnienie

Skorzystaj ze wzoru na obwód koła , z którego wyznacz promień (r). Następnie podstaw dane do wzoru na pole koła .

Poprzednie
Następne

Matematyka - wybrane pytania

Zadanie 9, strona 19, Teraz matura. Klasa 4. Zbiór zadań. Poziom podstawowy – rozwiązania i odpowiedzi
Zadanie 8., strona 150, Matematyka z kluczem. Klasa 6. Zeszyt ćwiczeń – rozwiązania i odpowiedzi
Zadanie 6, strona 242, MATeMAtyka 4. Podręcznik dla liceum ogólnokształcącego i technikum. Zakres podstawowy
Zadanie 154., strona 61, Matematyka z plusem. Klasa 3. Zbiór zadań. Zakres rozszerzony – rozwiązania i odpowiedzi
Ćwiczenie D, strona 119, Matematyka z plusem. Klasa 2. Podręcznik. Zakres podstawowy - rozwiązania i odpowiedzi
Zadanie 5.91., strona 135, Matematyka. Klasa 3. Zbiór zadań. Zakres rozszerzony – rozwiązania i odpowiedzi
Zadanie 4, strona 88, Matematyka. Klasa 7. Zeszyt ćwiczeń - rozwiązania i odpowiedzi
Zadanie 7., strona 186, Matematyka. Klasa 7. Podręcznik – rozwiązania i odpowiedzi
Zadanie 6.12., strona 170, Matematyka. Klasa 3. Zbiór zadań. Zakres rozszerzony – rozwiązania i odpowiedzi
Zadanie 2.3, strona 121, Prosto do matury. Klasa 3. Zakres podstawowy. Podręcznik - rozwiązania i odpowiedzi
REKLAMA
Skul
Zadania z tego działu
9. Koło i okrąg
72
9.1. Liczba π
72

Zadanie 1.

72

Zadanie 2.

72

Zadanie 3.

72

Zadanie 4.

72

Zadanie 5.

73

Zadanie 6.

73

Podpunkt a)

73

Podpunkt b)

73

Podpunkt c)

73

Podpunkt d)

73

Podpunkt e)

73

Podpunkt f)

73

Podpunkt g)

73

Zadanie 7.

73

Podpunkt a)

73

Podpunkt b)

73

Zadanie 8.

73

Podpunkt a)

73

Podpunkt b)

73

Zadanie 9.

74

Podpunkt a)

74

Podpunkt b)

74

Podpunkt c)

74

Zadanie 10.

74

Zadanie 11.

74
9.2. Długość okręgu
75

Zadanie 1.

75

Zadanie 2.

75

Zadanie 3.

75

Podpunkt a)

75

Podpunkt b)

75

Podpunkt c)

75

Zadanie 4.

76

Podpunkt a)

76

Podpunkt b)

76

Podpunkt c)

76

Zadanie 5.

76

Zadanie 6.

77

Zadanie 7.

77

Zadanie 8.

77
9.3. Pole koła
78

Zadanie 1.

78

Zadanie 2.

78

Zadanie 3.

78

Podpunkt a)

78

Podpunkt b)

78

Podpunkt c)

78

Podpunkt d)

78

Zadanie 4.

78

Podpunkt a)

78

Podpunkt b)

78

Podpunkt c)

78

Podpunkt d)

78

Zadanie 5.

79

Zadanie 6.

79

Podpunkt a)

79

Podpunkt b)

79

Zadanie 7.

80

Zadanie 8.

80

Zadanie 9.

80
Pełny spis treści
Skul
Artboard 1
Skul.pl
  • Napisz do nas
  • FAQ
  • Mapa Serwisu
  • Google Play
  • App Store

Korzystanie z portalu oznacza akceptację Regulaminu.
Polityka prywatności. Ustawienia preferencji. Copyright: INTERIA.PL 1999-2023 Wszystkie prawa zastrzeżone.