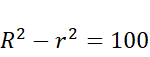
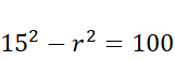
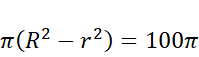
Oblicz długość cięciwy wyznaczonej przez punkty A i B (rysunek), wiedząc, że promień większego okręgu wynosi 15, a pole pierścienia kołowego wynosi 100p.
Rozwiązanie
Wyjaśnienie
Zauważ, że szukana długość cięciwy AB jest równa średnicy mniejszego koła, czyli 2r. Wiedząc, że pole pierścienia kołowego jest różnicą pól okręgów, które go ograniczają, wyznacz promień mniejszego koła. Następnie wyznacz długość |AB|.