Skul.pl
  • Opracowania zadań z podręczników
  • Matematyka. Klasa 8. Zeszyt ćwiczeń - rozwiązania i odpowiedzi
  • Podpunkt c)

Matematyka. Klasa 8. Zeszyt ćwiczeń - rozwiązania i odpowiedzi

Zeszyt ćwiczeń, Wydawnictwo: WSiP
Poprzednie

Zadanie 3., c) - strona 78

Następne

Zadanie

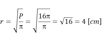
Oblicz promień koła, którego pole wynosi cm2.

Rozwiązanie

Skul

Wyjaśnienie

Skorzystaj ze wzoru na pole koła , z którego wyznacz promień (r).

Poprzednie
Następne

Matematyka - wybrane pytania

Zadanie 31., strona 296, MATeMAtyka 1. Zakres podstawowy i rozszerzony. Zbiór zadań – rozwiązania i odpowiedzi
Zadanie 1., strona 9, Matematyka z plusem. Klasa 1. Zeszyt ćwiczeń. Zakres podstawowy– rozwiązania i odpowiedzi
Ćwiczenie 8., strona 45, Matematyka z Plusem. Liczby naturalne i ułamki zwykłe. Klasa 5. Zeszyt ćwiczeń. Wersja A. Część 1/3 - rozwiązania i odpowiedzi
Zadanie 9, strona 82, Matematyka z plusem. Klasa 6. Zeszyt ćwiczeń. Wersja C – rozwiązania i odpowiedzi
Zadanie 9, strona 98, MATeMAtyka. Klasa 1. Zbiór zadań. Zakres podstawowy – rozwiązania i odpowiedzi
Zadanie 10.25., strona 325, Prosto do matury 4. Zakres podstawowy i rozszerzony. Podręcznik - rozwiązania i odpowiedzi
Zadanie 9.6., strona 255, Prosto do matury. Matematyka. Klasa 1. Zakres podstawowy. Podręcznik - rozwiązania i odpowiedzi
Zadanie Zadanie sprawdzające1, strona 79, Matematyka. Klasa 6. Podręcznik - rozwiązania i odpowiedzi
Ćwiczenie 2, strona 141, Matematyka z kluczem. Klasa 5. Zeszyt ćwiczeń - rozwiązania i odpowiedzi
Zadanie S2., strona 159, Matematyka z plusem. Klasa 3. Podręcznik. Zakres podstawowy – rozwiązania i odpowiedzi
REKLAMA
Skul
Zadania z tego działu
9. Koło i okrąg
72
9.1. Liczba π
72

Zadanie 1.

72

Zadanie 2.

72

Zadanie 3.

72

Zadanie 4.

72

Zadanie 5.

73

Zadanie 6.

73

Podpunkt a)

73

Podpunkt b)

73

Podpunkt c)

73

Podpunkt d)

73

Podpunkt e)

73

Podpunkt f)

73

Podpunkt g)

73

Zadanie 7.

73

Podpunkt a)

73

Podpunkt b)

73

Zadanie 8.

73

Podpunkt a)

73

Podpunkt b)

73

Zadanie 9.

74

Podpunkt a)

74

Podpunkt b)

74

Podpunkt c)

74

Zadanie 10.

74

Zadanie 11.

74
9.2. Długość okręgu
75

Zadanie 1.

75

Zadanie 2.

75

Zadanie 3.

75

Podpunkt a)

75

Podpunkt b)

75

Podpunkt c)

75

Zadanie 4.

76

Podpunkt a)

76

Podpunkt b)

76

Podpunkt c)

76

Zadanie 5.

76

Zadanie 6.

77

Zadanie 7.

77

Zadanie 8.

77
9.3. Pole koła
78

Zadanie 1.

78

Zadanie 2.

78

Zadanie 3.

78

Podpunkt a)

78

Podpunkt b)

78

Podpunkt c)

78

Podpunkt d)

78

Zadanie 4.

78

Podpunkt a)

78

Podpunkt b)

78

Podpunkt c)

78

Podpunkt d)

78

Zadanie 5.

79

Zadanie 6.

79

Podpunkt a)

79

Podpunkt b)

79

Zadanie 7.

80

Zadanie 8.

80

Zadanie 9.

80
Pełny spis treści
Skul
Artboard 1
Skul.pl
  • Napisz do nas
  • FAQ
  • Mapa Serwisu
  • Google Play
  • App Store

Korzystanie z portalu oznacza akceptację Regulaminu.
Polityka prywatności. Ustawienia preferencji. Copyright: INTERIA.PL 1999-2023 Wszystkie prawa zastrzeżone.