Skul.pl
  • Opracowania zadań z podręczników
  • Matematyka. Klasa 8. Zeszyt ćwiczeń - rozwiązania i odpowiedzi
  • Podpunkt f)

Matematyka. Klasa 8. Zeszyt ćwiczeń - rozwiązania i odpowiedzi

Zeszyt ćwiczeń, Wydawnictwo: WSiP
Poprzednie

Zadanie 6., f) - strona 73

Następne

Zadanie

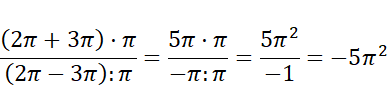
Uprość wyrażenie .

Rozwiązanie

Skul

Wyjaśnienie

Skróć wyrażenie, dzieląc licznik i mianownik przez wspólną liczbę.

Poprzednie
Następne

Matematyka - wybrane pytania

Zadanie 6.7., strona 347, Prosto do matury. Matematyka. Klasa 1. Zakres podstawowy. Podręcznik - rozwiązania i odpowiedzi
Ćwiczenie 7., strona 122, Matematyka z plusem. Klasa 6. Podręcznik - rozwiązania i odpowiedzi
Zadanie 33, strona 25, Matura z matematyki. Formuła 2015. Poziom podstawowy. Maj 2024.
Zadanie 8, strona 187, Matematyka z plusem. Klasa 8. Podręcznik – rozwiązania i odpowiedzi
Zadanie 11., strona 31, Matematyka z plusem. Klasa 8. Zbiór zadań - rozwiązania i odpowiedzi
Zadanie 50., strona 345, MATeMAtyka. Klasa 1. Zbiór Zadań. Zakres podstawowy i rozszerzony – rozwiązania i odpowiedzi
Zadanie 4, strona 134, Matematyka. Klasa 6. Podręcznik - rozwiązania i odpowiedzi
Zadanie 6, strona 160, Matematyka z plusem. Klasa 8. Podręcznik – rozwiązania i odpowiedzi
Zadanie 7., strona 159, Matematyka. Klasa 1. Podręcznik. Zakres rozszerzony. Część 2 – rozwiązania i odpowiedzi
Zadanie 120., strona 171, Matematyka z plusem. Klasa 2. Zbiór zadań. Zakres podstawowy i rozszerzony – rozwiązania i odpowiedzi
REKLAMA
Skul
Zadania z tego działu
9. Koło i okrąg
72
9.1. Liczba π
72

Zadanie 1.

72

Zadanie 2.

72

Zadanie 3.

72

Zadanie 4.

72

Zadanie 5.

73

Zadanie 6.

73

Podpunkt a)

73

Podpunkt b)

73

Podpunkt c)

73

Podpunkt d)

73

Podpunkt e)

73

Podpunkt f)

73

Podpunkt g)

73

Zadanie 7.

73

Podpunkt a)

73

Podpunkt b)

73

Zadanie 8.

73

Podpunkt a)

73

Podpunkt b)

73

Zadanie 9.

74

Podpunkt a)

74

Podpunkt b)

74

Podpunkt c)

74

Zadanie 10.

74

Zadanie 11.

74
9.2. Długość okręgu
75

Zadanie 1.

75

Zadanie 2.

75

Zadanie 3.

75

Podpunkt a)

75

Podpunkt b)

75

Podpunkt c)

75

Zadanie 4.

76

Podpunkt a)

76

Podpunkt b)

76

Podpunkt c)

76

Zadanie 5.

76

Zadanie 6.

77

Zadanie 7.

77

Zadanie 8.

77
9.3. Pole koła
78

Zadanie 1.

78

Zadanie 2.

78

Zadanie 3.

78

Podpunkt a)

78

Podpunkt b)

78

Podpunkt c)

78

Podpunkt d)

78

Zadanie 4.

78

Podpunkt a)

78

Podpunkt b)

78

Podpunkt c)

78

Podpunkt d)

78

Zadanie 5.

79

Zadanie 6.

79

Podpunkt a)

79

Podpunkt b)

79

Zadanie 7.

80

Zadanie 8.

80

Zadanie 9.

80
Pełny spis treści
Skul
Artboard 1
Skul.pl
  • Napisz do nas
  • FAQ
  • Mapa Serwisu
  • Google Play
  • App Store

Korzystanie z portalu oznacza akceptację Regulaminu.
Polityka prywatności. Ustawienia preferencji. Copyright: INTERIA.PL 1999-2023 Wszystkie prawa zastrzeżone.