Skul.pl
  • Opracowania zadań z podręczników
  • Matematyka. Klasa 8. Zeszyt ćwiczeń - rozwiązania i odpowiedzi
  • Podpunkt b)

Matematyka. Klasa 8. Zeszyt ćwiczeń - rozwiązania i odpowiedzi

Zeszyt ćwiczeń, Wydawnictwo: WSiP
Poprzednie

Zadanie 8., b) - strona 73

Następne

Zadanie

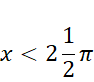
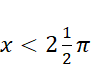
Wyznacz największą liczbę całkowitą, dla której nierówność jest prawdziwa.

Rozwiązanie

Najmniejsza liczba całkowita:

Skul

Wyjaśnienie

Skorzystaj z przybliżenia . Następnie wyznacz najmniejszą liczbę całkowitą, która spełnia tę nierówność.

Poprzednie
Następne

Matematyka - wybrane pytania

Zadanie 41, strona 232, MATeMAtyka 4. Zakres podstawowy i rozszerzony. Podręcznik - rozwiązania i odpowiedzi
Zadanie 4, strona 148, NOWA MATeMAtyka 1. Podręcznik. Zakres podstawowy i rozszerzony
Zadanie 23, strona 20, Matura z matematyki. Poziom podstawowy. 2023
Ćwiczenie Co było na lekcji 6, strona 47, Matematyka. Klasa 6. Zeszyt ćwiczeń. Część 1 - rozwiązania i odpowiedzi
Zadanie 5.6., strona 239, Prosto do matury 3. Zakres podstawowy. Podręcznik - rozwiązania i odpowiedzi
Zadanie 19., strona 137, Matematyka. Klasa 8. Zbiór zadań - rozwiązania i odpowiedzi
Zadanie 9., strona 170, Matematyka. Klasa 1. Zbiór zadań. Zakres rozszerzony – rozwiązania i odpowiedzi
Zadanie 13., strona 53, Matematyka. Klasa 7. Zbiór zadań – rozwiązania i odpowiedzi
Zadanie 17., strona 45, Teraz matura. Klasa 4. Poziom rozszerzony. Zbiór zadań – rozwiązania i odpowiedzi
Zadanie otwarte 10, strona 135, Matematyka wokół nas. Klasa 5. Zbiór zadań – rozwiązania i odpowiedzi
REKLAMA
Skul
Zadania z tego działu
9. Koło i okrąg
72
9.1. Liczba π
72

Zadanie 1.

72

Zadanie 2.

72

Zadanie 3.

72

Zadanie 4.

72

Zadanie 5.

73

Zadanie 6.

73

Podpunkt a)

73

Podpunkt b)

73

Podpunkt c)

73

Podpunkt d)

73

Podpunkt e)

73

Podpunkt f)

73

Podpunkt g)

73

Zadanie 7.

73

Podpunkt a)

73

Podpunkt b)

73

Zadanie 8.

73

Podpunkt a)

73

Podpunkt b)

73

Zadanie 9.

74

Podpunkt a)

74

Podpunkt b)

74

Podpunkt c)

74

Zadanie 10.

74

Zadanie 11.

74
9.2. Długość okręgu
75

Zadanie 1.

75

Zadanie 2.

75

Zadanie 3.

75

Podpunkt a)

75

Podpunkt b)

75

Podpunkt c)

75

Zadanie 4.

76

Podpunkt a)

76

Podpunkt b)

76

Podpunkt c)

76

Zadanie 5.

76

Zadanie 6.

77

Zadanie 7.

77

Zadanie 8.

77
9.3. Pole koła
78

Zadanie 1.

78

Zadanie 2.

78

Zadanie 3.

78

Podpunkt a)

78

Podpunkt b)

78

Podpunkt c)

78

Podpunkt d)

78

Zadanie 4.

78

Podpunkt a)

78

Podpunkt b)

78

Podpunkt c)

78

Podpunkt d)

78

Zadanie 5.

79

Zadanie 6.

79

Podpunkt a)

79

Podpunkt b)

79

Zadanie 7.

80

Zadanie 8.

80

Zadanie 9.

80
Pełny spis treści
Skul
Artboard 1
Skul.pl
  • Napisz do nas
  • FAQ
  • Mapa Serwisu
  • Google Play
  • App Store

Korzystanie z portalu oznacza akceptację Regulaminu.
Polityka prywatności. Ustawienia preferencji. Copyright: INTERIA.PL 1999-2023 Wszystkie prawa zastrzeżone.