Skul.pl
  • Opracowania zadań z podręczników
  • Matematyka. Klasa 8. Zeszyt ćwiczeń - rozwiązania i odpowiedzi
  • Podpunkt b)

Matematyka. Klasa 8. Zeszyt ćwiczeń - rozwiązania i odpowiedzi

Zeszyt ćwiczeń, Wydawnictwo: WSiP
Poprzednie

Zadanie 4., b) - strona 78

Następne

Zadanie

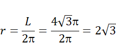
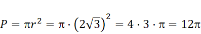
Oblicz pole powierzchni koła, którego obwód wynosi cm.

Rozwiązanie

Skul

Wyjaśnienie

Skorzystaj ze wzoru na obwód koła , z którego wyznacz promień (r). Następnie podstaw dane do wzoru na pole koła .

Poprzednie
Następne

Matematyka - wybrane pytania

Zadanie 20., strona 310, Matematyka. Klasa 4. Podręcznik. Zakres rozszerzony – rozwiązania i odpowiedzi
Ćwiczenie Co było na lekcji 8, strona 98, Matematyka. Klasa 6. Zeszyt ćwiczeń. Część 1 - rozwiązania i odpowiedzi
Zadanie 11., strona 19, Matematyka. Klasa 7. Zbiór zadań – rozwiązania i odpowiedzi
Ćwiczenie 4., strona 292, Matematyka. Klasa 1. Podręcznik. Zakres podstawowy - rozwiązania i odpowiedzi
Zadanie 5., strona 61, Matematyka. Klasa 6. Zeszyt ćwiczeń. Część 2 - rozwiązania i odpowiedzi
Zadanie 7, strona 109, NOWA MATeMAtyka 1. Podręcznik. Zakres podstawowy i rozszerzony
Zadanie S3., strona 218, Matematyka z Plusem. Klasa 1. Podręcznik. Poziom rozszerzony – rozwiązania i odpowiedzi
Zadanie 154., strona 177, Matematyka z plusem. Klasa 3. Zbiór zadań. Zakres rozszerzony – rozwiązania i odpowiedzi
Zadanie 7.1., strona 176, Prosto do matury. Klasa 3. Zakres podstawowy. Podręcznik - rozwiązania i odpowiedzi
Zadanie 1, strona 36, Matematyka. Klasa 7. Zeszyt ćwiczeń - rozwiązania i odpowiedzi
REKLAMA
Skul
Zadania z tego działu
9. Koło i okrąg
72
9.1. Liczba π
72

Zadanie 1.

72

Zadanie 2.

72

Zadanie 3.

72

Zadanie 4.

72

Zadanie 5.

73

Zadanie 6.

73

Podpunkt a)

73

Podpunkt b)

73

Podpunkt c)

73

Podpunkt d)

73

Podpunkt e)

73

Podpunkt f)

73

Podpunkt g)

73

Zadanie 7.

73

Podpunkt a)

73

Podpunkt b)

73

Zadanie 8.

73

Podpunkt a)

73

Podpunkt b)

73

Zadanie 9.

74

Podpunkt a)

74

Podpunkt b)

74

Podpunkt c)

74

Zadanie 10.

74

Zadanie 11.

74
9.2. Długość okręgu
75

Zadanie 1.

75

Zadanie 2.

75

Zadanie 3.

75

Podpunkt a)

75

Podpunkt b)

75

Podpunkt c)

75

Zadanie 4.

76

Podpunkt a)

76

Podpunkt b)

76

Podpunkt c)

76

Zadanie 5.

76

Zadanie 6.

77

Zadanie 7.

77

Zadanie 8.

77
9.3. Pole koła
78

Zadanie 1.

78

Zadanie 2.

78

Zadanie 3.

78

Podpunkt a)

78

Podpunkt b)

78

Podpunkt c)

78

Podpunkt d)

78

Zadanie 4.

78

Podpunkt a)

78

Podpunkt b)

78

Podpunkt c)

78

Podpunkt d)

78

Zadanie 5.

79

Zadanie 6.

79

Podpunkt a)

79

Podpunkt b)

79

Zadanie 7.

80

Zadanie 8.

80

Zadanie 9.

80
Pełny spis treści
Skul
Artboard 1
Skul.pl
  • Napisz do nas
  • FAQ
  • Mapa Serwisu
  • Google Play
  • App Store

Korzystanie z portalu oznacza akceptację Regulaminu.
Polityka prywatności. Ustawienia preferencji. Copyright: INTERIA.PL 1999-2023 Wszystkie prawa zastrzeżone.