Wskaż poprawne dokończenia poniższych zdań.
Obwód koła o promieniu r jest A / B razy dłuższy od średnicy tego koła.
A.p
B. 2p
Średnica koła jest C / D razy dłuższa od promienia r tego koła.
C. 2p
D. 2
Zdanie 1:
Odpowiedź: Obwód koła o promieniu r jest B. 2p razy dłuższy od średnicy tego koła.
Zdanie 2:
Odpowiedź: Średnica koła jest D. 2razy dłuższa od promienia r tego koła.
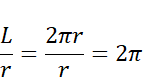
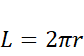
Skorzystaj ze wzoru na obwód koła , gdzie r – promień koła, oraz faktu, że średnica (d) stanowi długość dwóch promieni (r).
Zadanie 1.
Zadanie 2.
Zadanie 3.
Zadanie 4.
Zadanie 5.
Zadanie 6.
Podpunkt a)
Podpunkt b)
Podpunkt c)
Podpunkt d)
Podpunkt e)
Podpunkt f)
Podpunkt g)
Zadanie 7.
Zadanie 8.
Zadanie 9.
Zadanie 10.
Zadanie 11.