Zadanie

Wybierz poprawne dokończenie poniższych zdań.

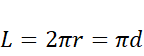
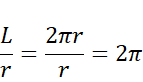
Iloraz długości okręgu i długości jego promienia jest równy A / B.

A.

B.

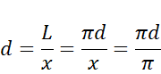
Długość średnicy koła jest równa ilorazowi obwodu tego koła i liczby C / D.

C.

D.

Rozwiązanie

Wyjaśnienie