Skul.pl
  • Opracowania zadań z podręczników
  • Matematyka. Klasa 8. Zeszyt ćwiczeń - rozwiązania i odpowiedzi
  • Podpunkt a)

Matematyka. Klasa 8. Zeszyt ćwiczeń - rozwiązania i odpowiedzi

Zeszyt ćwiczeń, Wydawnictwo: WSiP
Poprzednie

Zadanie 4., a) - strona 78

Następne

Zadanie

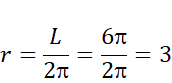
Oblicz pole powierzchni koła, którego obwód wynosi cm.

Rozwiązanie

Skul

Wyjaśnienie

Skorzystaj ze wzoru na obwód koła , z którego wyznacz promień (r). Następnie podstaw dane do wzoru na pole koła .

Poprzednie
Następne

Matematyka - wybrane pytania

Zadanie 3, strona 368, Matematyka. Klasa 2. Podręcznik. Zakres rozszerzony – rozwiązania i odpowiedzi
Zadanie 2, strona 220, Matematyka wokół nas. Klasa 4. Podręcznik - rozwiązania i odpowiedzi
Zadanie 7.57., strona 177, Prosto do matury. Klasa 4. Podręcznik. Zakres podstawowy - rozwiązania i odpowiedzi
Zadanie otwarte 2, strona 109, Matematyka wokół nas. Klasa 5. Zbiór zadań – rozwiązania i odpowiedzi
Zadanie 4.10., strona 83, Matematyka i przykłady jej zastosowań. Klasa 1. Podręcznik. Zakres podstawowy – rozwiązania i odpowiedzi
Zadanie 7, strona 216, MATeMAtyka. Klasa 1. Zbiór zadań. Zakres podstawowy – rozwiązania i odpowiedzi
Ćwiczenie 1., strona 29, Matematyka wokół nas. Klasa 4. Zeszyt ćwiczeń. Część 1 - rozwiązania i odpowiedzi
Zadanie Test C. 3., strona 37, Matematyka. Klasa 8. Zbiór zadań - rozwiązania i odpowiedzi
Zadanie 13., strona 48, MATeMAtyka. Klasa 1. Zbiór Zadań. Zakres podstawowy i rozszerzony – rozwiązania i odpowiedzi
Zadanie 10, strona 38, MATeMAtyka 1. Karty pracy ucznia. Zakres podstawowy
REKLAMA
Skul
Zadania z tego działu
9. Koło i okrąg
72
9.1. Liczba π
72

Zadanie 1.

72

Zadanie 2.

72

Zadanie 3.

72

Zadanie 4.

72

Zadanie 5.

73

Zadanie 6.

73

Podpunkt a)

73

Podpunkt b)

73

Podpunkt c)

73

Podpunkt d)

73

Podpunkt e)

73

Podpunkt f)

73

Podpunkt g)

73

Zadanie 7.

73

Podpunkt a)

73

Podpunkt b)

73

Zadanie 8.

73

Podpunkt a)

73

Podpunkt b)

73

Zadanie 9.

74

Podpunkt a)

74

Podpunkt b)

74

Podpunkt c)

74

Zadanie 10.

74

Zadanie 11.

74
9.2. Długość okręgu
75

Zadanie 1.

75

Zadanie 2.

75

Zadanie 3.

75

Podpunkt a)

75

Podpunkt b)

75

Podpunkt c)

75

Zadanie 4.

76

Podpunkt a)

76

Podpunkt b)

76

Podpunkt c)

76

Zadanie 5.

76

Zadanie 6.

77

Zadanie 7.

77

Zadanie 8.

77
9.3. Pole koła
78

Zadanie 1.

78

Zadanie 2.

78

Zadanie 3.

78

Podpunkt a)

78

Podpunkt b)

78

Podpunkt c)

78

Podpunkt d)

78

Zadanie 4.

78

Podpunkt a)

78

Podpunkt b)

78

Podpunkt c)

78

Podpunkt d)

78

Zadanie 5.

79

Zadanie 6.

79

Podpunkt a)

79

Podpunkt b)

79

Zadanie 7.

80

Zadanie 8.

80

Zadanie 9.

80
Pełny spis treści
Skul
Artboard 1
Skul.pl
  • Napisz do nas
  • FAQ
  • Mapa Serwisu
  • Google Play
  • App Store

Korzystanie z portalu oznacza akceptację Regulaminu.
Polityka prywatności. Ustawienia preferencji. Copyright: INTERIA.PL 1999-2023 Wszystkie prawa zastrzeżone.