W tym zadaniu musisz ocenić prawdziwość podanych stwierdzeń.
I. Obwód tego rombu jest równy 20. F
II. Pole tego rombu jest równe 96. P
III. Wysokość tego rombu jest równa 9,6. F
I. Obwód tego rombu jest równy 20. F, ponieważ bok rombu:
II. Pole tego rombu jest równe 96. P, ponieważ
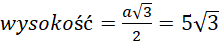
III. Wysokość tego rombu jest równa 9,6. F, ponieważ
Zadanie 7
239Zadanie 18
240Zadanie 19
240Zadanie 20
240Zadanie 15
248Zadanie 16
249Zadanie 13
253Zadanie 15
253Zadanie 10
256Zadanie 15
256Zadanie 16
256Zadanie 8
258Zadanie 9
258Zadanie 15
259Zadanie 2
262Zadanie 8
262Zadanie 12
263Zadanie 18
269Zadanie 17
273Zadanie 18
274Zadanie 19
274Zadanie 13
279