W tym zadaniu musisz obliczyć ilość błędnie rozwiązanych zadań przez Kamilę.
Liczba błędnie rozwiązanych zadań wynosiła 8.
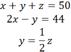
z – liczba nierozwiązanych; x – poprawnie rozwiązane; y – źle rozwiązane;
Stąd:
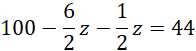
Zatem:
Zadanie 7
239Zadanie 18
240Zadanie 19
240Zadanie 20
240Zadanie 15
248Zadanie 16
249Zadanie 13
253Zadanie 15
253Zadanie 10
256Zadanie 15
256Zadanie 16
256Zadanie 8
258Zadanie 9
258Zadanie 15
259Zadanie 2
262Zadanie 8
262Zadanie 12
263Zadanie 18
269Zadanie 17
273Zadanie 18
274Zadanie 19
274Zadanie 13
279