a – bok kwadratu i trójkąta
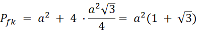
Obwfk = 8a
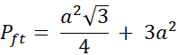
Obwft = 9a
Obwft > Obwfk
Pft > Pfk
Zarówno obwód jak i pole większe ma figura utworzona na trójkącie.
Zauważ, że licząc obwód na figurze utworzonej na kwadracie, masz 8 boków równych a, natomiast na figurze utworzonej na trójkącie, tych długości jest 9. Pole figury utworzonej na kwadracie to suma pól kwadratu i czterech trójkątów równobocznych, natomiast pole figury utworzonej na trójkącie to suma pól trójkąta równobocznego i trzech kwadratów.