W tym zadaniu musisz wskazać zbiór wyników doświadczeń odpowiadający założeniom z treści.
Tabela 1.
Wówczas wzór funkcji przyjmuje postać:
Sprawdzasz, czy punkt (10, -6) należy do wykresu tej funkcji:
Wyniki z tabeli 1. nie potwierdzają przypuszczeń.
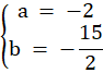
Tabela 2.
Wówczas wzór funkcji przyjmuje postać:
Sprawdzasz, czy punkt (1000, -12) należy do wykresu tej funkcji:
Wyniki z tabeli 2. nie potwierdzają przypuszczeń.
Tabela 3.
Wówczas wzór funkcji przyjmuje postać:
Sprawdzasz, czy punkt (100, 18) należy do wykresu tej funkcji:
Wyniki z tabeli 3. potwierdzają przypuszczenia.
Podstawiasz do danego w treści wzoru współrzędne dwóch punktów pomiarowych i wyznaczasz współczynniki a i b. Następnie po otrzymaniu konkretnej postaci wzoru funkcji podstawiasz współrzędne trzeciego punktu pomiarowego i sprawdzasz, czy wyniki są ze sobą zgodne.
Ćwiczenie B
91Zadanie 1
94Zadanie 2
94Zadanie 3
94Zadanie 4
94Zadanie 5
94Zadanie 6
95Zadanie 7
95Zadanie 8
95Zadanie 9
96Zadanie 10
96Zadanie 13
97Zadanie 14
97Zadanie 16
97Zadanie 17
97Zadanie 18
97Ćwiczenie A
98Zadanie 1
100Zadanie 2
101Zadanie 3
101Zadanie 4
101Zadanie 5
101Zadanie 6
102Zadanie 7
102Zadanie 8
102Ćwiczenie A
103Ćwiczenie C
104Ćwiczenie D
105Zadanie 2
105Zadanie 3
105Zadanie 4
106Zadanie 6
106Zadanie 8
107Zadanie 1
109Zadanie 2
110Zadanie 3
110Zadanie 4
110Zadanie 5
110Zadanie 6
110Zadanie 7
11Zadanie 9
110Zadanie 3
116Zadanie 4
116Zadanie 6
116Zadanie 8
117Zadanie 9
117Zadanie 12
118Zadanie 14
118Zadanie 15
118Zadanie 16
118Zadanie 17
119Zadanie 20
119Zadanie 21
119Zadanie 22
119Zadanie 23
120Zadanie 24
120Przykład 1
122Przykład 2
122Przykład 4
123Przykład 5
124Przykład 6
125Zadanie 1
126Zadanie 2
126Zadanie 3
126Zadanie 4
126Zadanie 5
126Zadanie 6
127Zadanie 7
127Zadanie 8
127Zadanie 9
127Zadanie 10
127Zadanie 11
127Zadanie 12
127Zadanie 13
128Zadanie 14
128Zadanie 15
128Zadanie 16
128Ćwiczenie A
131Przykład 2
133Zadanie 1
133Zadanie 2
134Zadanie 3
134Zadanie 4
134Zadanie 5
134Zadanie 6
135Zadanie 7
135Zadanie 8
136Zadanie 10
137Zadanie 3
138Zadanie 5
138Zadanie 8
138Zadanie 9
138Zadanie 10
138