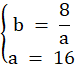
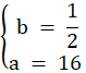
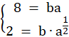
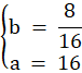
W tym zadaniu musisz wskazać wartości niewiadomych, które spełniają założenia z treści zadania.
Podstawiasz współrzędne K i L do wzoru funkcji. W ten sposób otrzymujesz układ równań, z którego wyznaczasz współczynniki a i b.
Ćwiczenie B
91Zadanie 1
94Zadanie 2
94Zadanie 3
94Zadanie 4
94Zadanie 5
94Zadanie 6
95Zadanie 7
95Zadanie 8
95Zadanie 9
96Zadanie 10
96Zadanie 13
97Zadanie 14
97Zadanie 16
97Zadanie 17
97Zadanie 18
97Ćwiczenie A
98Zadanie 1
100Zadanie 2
101Zadanie 3
101Zadanie 4
101Zadanie 5
101Zadanie 6
102Zadanie 7
102Zadanie 8
102Ćwiczenie A
103Ćwiczenie C
104Ćwiczenie D
105Zadanie 2
105Zadanie 3
105Zadanie 4
106Zadanie 6
106Zadanie 8
107Zadanie 1
109Zadanie 2
110Zadanie 3
110Zadanie 4
110Zadanie 5
110Zadanie 6
110Zadanie 7
11Zadanie 9
110Zadanie 3
116Zadanie 4
116Zadanie 6
116Zadanie 8
117Zadanie 9
117Zadanie 12
118Zadanie 14
118Zadanie 15
118Zadanie 16
118Zadanie 17
119Zadanie 20
119Zadanie 21
119Zadanie 22
119Zadanie 23
120Zadanie 24
120Przykład 1
122Przykład 2
122Przykład 4
123Przykład 5
124Przykład 6
125Zadanie 1
126Zadanie 2
126Zadanie 3
126Zadanie 4
126Zadanie 5
126Zadanie 6
127Zadanie 7
127Zadanie 8
127Zadanie 9
127Zadanie 10
127Zadanie 11
127Zadanie 12
127Zadanie 13
128Zadanie 14
128Zadanie 15
128Zadanie 16
128Ćwiczenie A
131Przykład 2
133Zadanie 1
133Zadanie 2
134Zadanie 3
134Zadanie 4
134Zadanie 5
134Zadanie 6
135Zadanie 7
135Zadanie 8
136Zadanie 10
137Zadanie 3
138Zadanie 5
138Zadanie 8
138Zadanie 9
138Zadanie 10
138