d = 10 cm
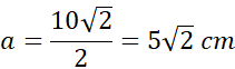
a – długość boku kwadratu
boki najmniejszych trójkątów:
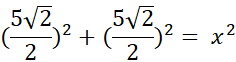
25 = x2
x = 5 cm
Długość boków trójkąta:
Miary kątów trójkąta: 45°, 45°, 90°.
Zwróć uwagę na fakt, że powstał trójkąt prostokątny równoramienny zatem miara jego kątów nie będących kątem prostym będzie taka sama. Suma miar kątów w trójkącie to 180°.